



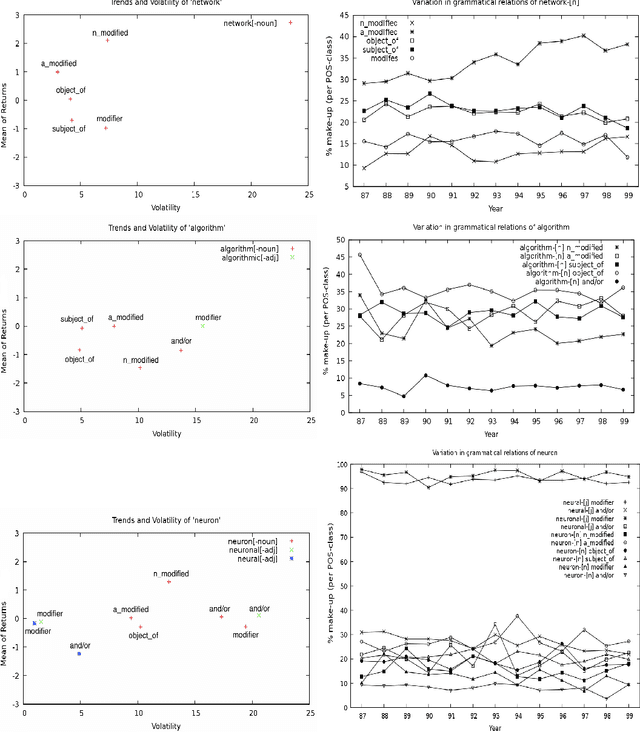
Abstract:We present a method of finding and analyzing shifts in grammatical relations found in diachronic corpora. Inspired by the econometric technique of measuring return and volatility instead of relative frequencies, we propose them as a way to better characterize changes in grammatical patterns like nominalization, modification and comparison. To exemplify the use of these techniques, we examine a corpus of NIPS papers and report trends which manifest at the token, part-of-speech and grammatical levels. Building up from frequency observations to a second-order analysis, we show that shifts in frequencies overlook deeper trends in language, even when part-of-speech information is included. Examining token, POS and grammatical levels of variation enables a summary view of diachronic text as a whole. We conclude with a discussion about how these methods can inform intuitions about specialist domains as well as changes in language use as a whole.