



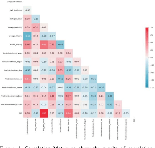
Abstract:This study introduces the Community Sentiment and Engagement Index (CSEI), developed to capture nuanced public sentiment and engagement variations on social media, particularly in response to major events related to COVID-19. Constructed with diverse sentiment indicators, CSEI integrates features like engagement, daily post count, compound sentiment, fine-grain sentiments (fear, surprise, joy, sadness, anger, disgust, and neutral), readability, offensiveness, and domain diversity. Each component is systematically weighted through a multi-step Principal Component Analysis (PCA)-based framework, prioritizing features according to their variance contributions across temporal sentiment shifts. This approach dynamically adjusts component importance, enabling CSEI to precisely capture high-sensitivity shifts in public sentiment. The development of CSEI showed statistically significant correlations with its constituent features, underscoring internal consistency and sensitivity to specific sentiment dimensions. CSEI's responsiveness was validated using a dataset of 4,510,178 Reddit posts about COVID-19. The analysis focused on 15 major events, including the WHO's declaration of COVID-19 as a pandemic, the first reported cases of COVID-19 across different countries, national lockdowns, vaccine developments, and crucial public health measures. Cumulative changes in CSEI revealed prominent peaks and valleys aligned with these events, indicating significant patterns in public sentiment across different phases of the pandemic. Pearson correlation analysis further confirmed a statistically significant relationship between CSEI daily fluctuations and these events (p = 0.0428), highlighting the capacity of CSEI to infer and interpret shifts in public sentiment and engagement in response to major events related to COVID-19.




Abstract:The work of this paper presents a dataset that contains the data of 4011 videos about the ongoing outbreak of measles published on 264 websites on the internet between January 1, 2024, and May 31, 2024. The dataset is available at https://dx.doi.org/10.21227/40s8-xf63. These websites primarily include YouTube and TikTok, which account for 48.6% and 15.2% of the videos, respectively. The remainder of the websites include Instagram and Facebook as well as the websites of various global and local news organizations. For each of these videos, the URL of the video, title of the post, description of the post, and the date of publication of the video are presented as separate attributes in the dataset. After developing this dataset, sentiment analysis (using VADER), subjectivity analysis (using TextBlob), and fine-grain sentiment analysis (using DistilRoBERTa-base) of the video titles and video descriptions were performed. This included classifying each video title and video description into (i) one of the sentiment classes i.e. positive, negative, or neutral, (ii) one of the subjectivity classes i.e. highly opinionated, neutral opinionated, or least opinionated, and (iii) one of the fine-grain sentiment classes i.e. fear, surprise, joy, sadness, anger, disgust, or neutral. These results are presented as separate attributes in the dataset for the training and testing of machine learning algorithms for performing sentiment analysis or subjectivity analysis in this field as well as for other applications. Finally, this paper also presents a list of open research questions that may be investigated using this dataset.