



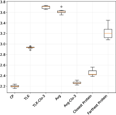
Abstract:We propose a novel transfer learning approach for orphan screening called corresponding projections. In orphan screening the learning task is to predict the binding affinities of compounds to an orphan protein, i.e., one for which no training data is available. The identification of compounds with high affinity is a central concern in medicine since it can be used for drug discovery and design. Given a set of prediction models for proteins with labelled training data and a similarity between the proteins, corresponding projections constructs a model for the orphan protein from them such that the similarity between models resembles the one between proteins. Under the assumption that the similarity resemblance holds, we derive an efficient algorithm for kernel methods. We empirically show that the approach outperforms the state-of-the-art in orphan screening.