



Abstract:With the increasing prevalence of autonomous vehicles, it is essential for computer vision algorithms to accurately assess road features in real-time. This study explores the LaneSegNet architecture, a new approach to lane topology prediction which integrates topological information with lane-line data to provide a more contextual understanding of road environments. The LaneSegNet architecture includes a feature extractor, lane encoder, lane decoder, and prediction head, leveraging components from ResNet-50, BEVFormer, and various attention mechanisms. We experimented with optimizations to the LaneSegNet architecture through feature extractor modification and transformer encoder-decoder stack modification. We found that modifying the encoder and decoder stacks offered an interesting tradeoff between training time and prediction accuracy, with certain combinations showing promising results. Our implementation, trained on a single NVIDIA Tesla A100 GPU, found that a 2:4 ratio reduced training time by 22.3% with only a 7.1% drop in mean average precision, while a 4:8 ratio increased training time by only 11.1% but improved mean average precision by a significant 23.7%. These results indicate that strategic hyperparameter tuning can yield substantial improvements depending on the resources of the user. This study provides valuable insights for optimizing LaneSegNet according to available computation power, making it more accessible for users with limited resources and increasing the capabilities for users with more powerful resources.



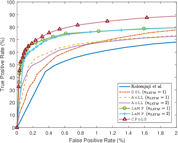
Abstract:Malicious software, or malware, presents a continuously evolving challenge in computer security. These embedded snippets of code in the form of malicious files or hidden within legitimate files cause a major risk to systems with their ability to run malicious command sequences. Malware authors even use polymorphism to reorder these commands and create several malicious variations. However, if executed in a secure environment, one can perform early malware detection on emulated command sequences. The models presented in this paper leverage this sequential data derived via emulation in order to perform Neural Malware Detection. These models target the core of the malicious operation by learning the presence and pattern of co-occurrence of malicious event actions from within these sequences. Our models can capture entire event sequences and be trained directly using the known target labels. These end-to-end learning models are powered by two commonly used structures - Long Short-Term Memory (LSTM) Networks and Convolutional Neural Networks (CNNs). Previously proposed sequential malware classification models process no more than 200 events. Attackers can evade detection by delaying any malicious activity beyond the beginning of the file. We present specialized models that can handle extremely long sequences while successfully performing malware detection in an efficient way. We present an implementation of the Convoluted Partitioning of Long Sequences approach in order to tackle this vulnerability and operate on long sequences. We present our results on a large dataset consisting of 634,249 file sequences, with extremely long file sequences.