


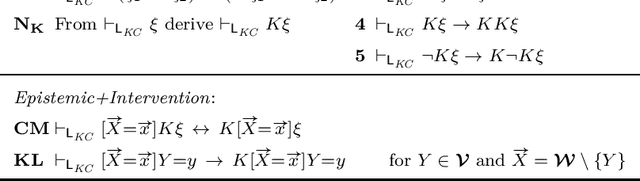
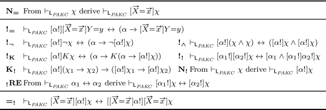
Abstract:This paper makes a first step towards a logic of learning from experiments. For this, we investigate formal frameworks for modeling the interaction of causal and (qualitative) epistemic reasoning. Crucial for our approach is the idea that the notion of an intervention can be used as a formal expression of a (real or hypothetical) experiment. In a first step we extend the well-known causal models with a simple Hintikka-style representation of the epistemic state of an agent. In the resulting setting, one can talk not only about the knowledge of an agent about the values of variables and how interventions affect them, but also about knowledge update. The resulting logic can model reasoning about thought experiments. However, it is unable to account for learning from experiments, which is clearly brought out by the fact that it validates the no learning principle for interventions. Therefore, in a second step, we implement a more complex notion of knowledge that allows an agent to observe (measure) certain variables when an experiment is carried out. This extended system does allow for learning from experiments. For all the proposed logical systems, we provide a sound and complete axiomatization.

Abstract:This paper proposes a formal framework for modeling the interaction of causal and (qualitative) epistemic reasoning. To this purpose, we extend the notion of a causal model with a representation of the epistemic state of an agent. On the side of the object language, we add operators to express knowledge and the act of observing new information. We provide a sound and complete axiomatization of the logic, and discuss the relation of this framework to causal team semantics.