



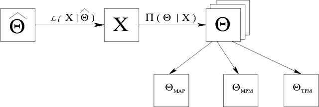
Abstract:A review of Bayesian restoration of digital images based on Monte Carlo techniques is presented. The topics covered include Likelihood, Prior and Posterior distributions, Poisson, Binay symmetric channel, and Gaussian channel models of Likelihood distribution,Ising and Potts spin models of Prior distribution, restoration of an image through Posterior maximization, statistical estimation of a true image from Posterior ensembles, Markov Chain Monte Carlo methods and cluster algorithms.