



Abstract:In this paper, we propose a semantic communication approach based on probabilistic graphical model (PGM). The proposed approach involves constructing a PGM from a training dataset, which is then shared as common knowledge between the transmitter and receiver. We evaluate the importance of various semantic features and present a PGM-based compression algorithm designed to eliminate predictable portions of semantic information. Furthermore, we introduce a technique to reconstruct the discarded semantic information at the receiver end, generating approximate results based on the PGM. Simulation results indicate a significant improvement in transmission efficiency over existing methods, while maintaining the quality of the transmitted images.




Abstract:Deep learning (DL) based semantic communication methods have been explored to transmit images efficiently in recent years. In this paper, we propose a generative model based semantic communication to further improve the efficiency of image transmission and protect private information. In particular, the transmitter extracts the interpretable latent representation from the original image by a generative model exploiting the GAN inversion method. We also employ a privacy filter and a knowledge base to erase private information and replace it with natural features in the knowledge base. The simulation results indicate that our proposed method achieves comparable quality of received images while significantly reducing communication costs compared to the existing methods.




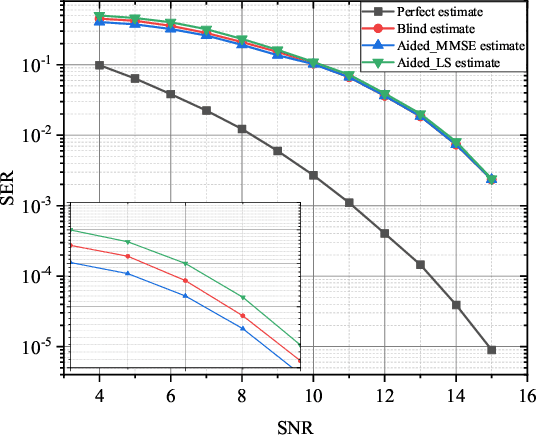
Abstract:In this paper, we investigate the blind channel estimation problem for MIMO systems under Rayleigh fading channel. Conventional MIMO communication techniques require transmitting a considerable amount of training symbols as pilots in each data block to obtain the channel state information (CSI) such that the transmitted signals can be successfully recovered. However, the pilot overhead and contamination become a bottleneck for the practical application of MIMO systems with the increase of the number of antennas. To overcome this obstacle, we propose a blind channel estimation framework, where we introduce an auxiliary posterior distribution of CSI and the transmitted signals given the received signals to derive a lower bound to the intractable likelihood function of the received signal. Meanwhile, we generate this auxiliary distribution by a neural network based variational inference framework, which is trained by maximizing the lower bound. The optimal auxiliary distribution which approaches real prior distribution is then leveraged to obtain the maximum a posterior (MAP) estimation of channel matrix and transmitted data. The simulation results demonstrate that the performance of the proposed blind channel estimation method closely approaches that of the conventional pilot-aided methods in terms of the channel estimation error and symbol error rate (SER) of the detected signals even without the help of pilots.