



Abstract:Wearable and locomotive robot designers face multiple challenges when choosing actuation. Traditional fully actuated designs using electric motors are multifunctional but oversized and inefficient for bearing conservative loads and for being backdrivable. Alternatively, quasi-passive and underactuated designs reduce the size of motorization and energy storage, but are often designed for specific tasks. Designers of versatile and stronger wearable robots will face these challenges unless future actuators become very torque-dense, backdrivable and efficient. This paper explores a design paradigm for addressing this issue: reconfigurable hydrostatics. We show that a hydrostatic actuator can integrate a passive force mechanism and a sharing mechanism in the fluid domain and still be multifunctional. First, an analytical study compares how these two mechanisms can relax the motorization requirements in the context of a load-bearing exoskeleton. Then, the hydrostatic concept integrating these two mechanisms using hydraulic components is presented. A case study analysis shows the mass/efficiency/inertia benefits of the concept over a fully actuated one. Then, the feasibility of the concept is partially validated with a proof-of-concept that actuates the knees of an exoskeleton. The experiments show that it can track the vertical ground reaction force (GRF) profiles of walking, running, squatting, and jumping, and that the energy consumption is 6x lower. The transient force behaviors due to switching from one leg to the other are also analyzed along with some mitigation to improve them.




Abstract:Patient transfer devices allow to move patients passively in hospitals and care centers. Instead of hoisting the patient, it would be beneficial in some cases to assist their movement, enabling them to move by themselves. However, patient assistance requires devices capable of precisely controlling output forces at significantly higher speeds than those used for patient transfers alone, and a single motor solution would be over-sized and show poor efficiency to do both functions. This paper presents a dual-motor actuator and control schemes adapted for a patient mobility equipment that can be used to transfer patients, assist patient in their movement, and help prevent falls. The prototype is shown to be able to lift patients weighing up to 318 kg, to assist a patient with a desired force of up to 100 kg with a precision of 7.8%. Also, a smart control scheme to manage falls is shown to be able to stop a patient who is falling by applying a desired deceleration.




Abstract:Robotic legs have bimodal operations: swing phases when the leg needs to move quickly in the air (high-speed, low-force) and stance phases when the leg bears the weight of the system (low-speed, high-force). Sizing a traditional single-ratio actuation system for such extremum operations leads to oversized heavy electric motor and poor energy efficiency, which hinder the capability of legged systems that bear the mass of their actuators and energy source. This paper explores an actuation concept where a hydrostatic transmission is dynamically reconfigured using valves to suit the requirements of each phase of a robotic leg. An analysis of the mass-delay-flow trade-off for the switching valve is presented. Then, a custom actuation system is built and integrated on a robotic leg test bench to evaluate the concept. Experimental results show that 1) small motorized ball valves can make fast transitions between operating modes when designed for this task, 2) the proposed operating principle and control schemes allow for seamless transitions, even during an impact with the ground and 3) the actuator characteristics address the needs of a leg bimodal operation in terms of force, speed and compliance.




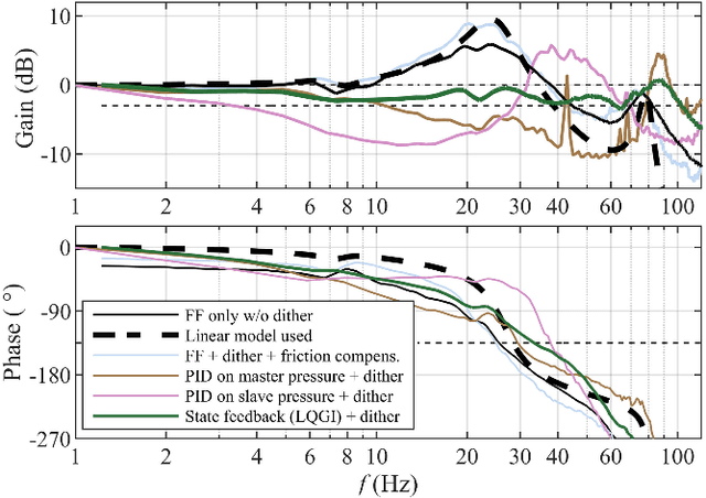
Abstract:Precise and high-fidelity force control is critical for new generations of robots that interact with humans and unknown environments. Mobile robots, such as wearable devices and legged robots, must also be lightweight to accomplish their function. Hydrostatic transmissions have been proposed as a promising strategy for meeting these two challenging requirements. In previous publications, it was shown that using magnetorheological (MR) actuators coupled with hydrostatic transmissions provides high power density and great open-loop human-robot interactions. Still, the open-loop force fidelity at low and high frequencies are decreased by the transmission's dynamics and by nonlinear friction. This letter compares control strategies for MR-hydrostatic actuator systems to increase its torque fidelity, defined as the bandwidth (measured vs desired torque reference) and transparency (minimizing the undesired forces reflected to the end effector when backdriving the robot). Four control approaches are developed and compared experimentally: (1) Open-loop control with friction compensation; (2) non-collocated pressure feedback; (3) collocated pressure feedback; (4) LQGI state feedback. A dither strategy is also implemented to smoothen ball screw friction. Results show that approaches (1), (2) and (3) can increase the performances but are facing compromises, while approach (4) can simultaneously improve all metrics. These results show the potential of using control schemes for improving the force control performance of robots using tethered architectures, addressing issues such as transmission dynamics and friction.




Abstract:Wearable robots are limited by their actuators performances because they must bear the weight of their own power system and energy source. This paper explores the idea of leveraging hybrid modes to meet multiple operating points with a lightweight and efficient system by using hydraulic valves to dynamically reconfigure the connections of a hydrostatic actuator. The analyzed opportunities consist in 1) switching between a highly geared power source or a fast power source, 2) dynamically connecting an energy accumulator and 3) using a locking mechanism for holding. Based on a knee exoskeleton case study analysis, results show that switching between gearing ratio can lead to a lighter and more efficient actuator. Also, results show that using an accumulator to provide a preload continuous force has great mass-saving potential, but does not reduce mass significantly if used as a power booster for short transients. Finally, using a locking valve can slightly reduce battery mass if the work cycle includes frequent stops. The operating principles of the proposed multimodal schemes are demonstrated with a one-DOF prototype.




Abstract:Supernumerary Robotic Limbs (SRLs) are wearable robots augmenting human capabilities by acting as a co-worker, reaching objects, support human arms, etc. However, existing SRLs lack the mechanical backdrivability and bandwidth required for tasks where the interaction forces must be controllable such as painting, manipulating fragile objects, etc. Being highly backdrivable with a high bandwidth while minimizing weight presents a major technological challenge imposed by the limited performances of conventional electromagnetic actuators. This paper studies the feasibility of using magnetorheological (MR) clutches coupled to a low-friction hydrostatic transmission to provide a highly capable, but yet lightweight, force-controllable SRL. A 2.7 kg 2-DOFs wearable robotic arm is designed and built. Shoulder and elbow joints are designed to deliver 39 and 25 Nm, with 115 and 180{\deg} of range of motion. Experimental studies conducted on a one-DOF test bench and validated analytically demonstrate a high force bandwidth (>25 Hz) and a good ability to control interaction forces even when interacting with an external impedance. Furthermore, three force-control approaches are studied and demonstrated experimentally: open-loop, closed-loop on force, and closed-loop on pressure. All three methods are shown to be effective. Overall, the proposed MR-Hydrostatic actuation system is well-suited for a lightweight SRL interacting with both human and environment that add unpredictable disturbances.