



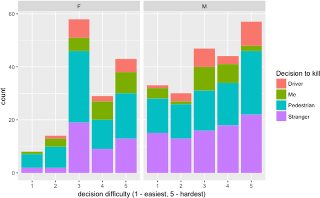
Abstract:The discussion between the automotive industry, governments, ethicists, policy makers and general public about autonomous cars' moral agency is widening, and therefore we see the need to bring more insight into what meta-factors might actually influence the outcomes of such discussions, surveys and plebiscites. In our study, we focus on the psychological (personality traits), practical (active driving experience), gender and rhetoric/framing factors that might impact and even determine respondents' a priori preferences of autonomous cars' operation. We conducted an online survey (N=430) to collect data that show that the third person scenario is less biased than the first person scenario when presenting ethical dilemma related to autonomous cars. According to our analysis, gender bias should be explored in more extensive future studies as well. We recommend any participatory technology assessment discourse to use the third person scenario and to direct attention to the way any autonomous car related debate is introduced, especially in terms of linguistic and communication aspects and gender.