

Abstract:BayesPy is an open-source Python software package for performing variational Bayesian inference. It is based on the variational message passing framework and supports conjugate exponential family models. By removing the tedious task of implementing the variational Bayesian update equations, the user can construct models faster and in a less error-prone way. Simple syntax, flexible model construction and efficient inference make BayesPy suitable for both average and expert Bayesian users. It also supports some advanced methods such as stochastic and collapsed variational inference.




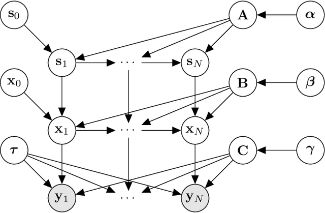
Abstract:This paper introduces a linear state-space model with time-varying dynamics. The time dependency is obtained by forming the state dynamics matrix as a time-varying linear combination of a set of matrices. The time dependency of the weights in the linear combination is modelled by another linear Gaussian dynamical model allowing the model to learn how the dynamics of the process changes. Previous approaches have used switching models which have a small set of possible state dynamics matrices and the model selects one of those matrices at each time, thus jumping between them. Our model forms the dynamics as a linear combination and the changes can be smooth and more continuous. The model is motivated by physical processes which are described by linear partial differential equations whose parameters vary in time. An example of such a process could be a temperature field whose evolution is driven by a varying wind direction. The posterior inference is performed using variational Bayesian approximation. The experiments on stochastic advection-diffusion processes and real-world weather processes show that the model with time-varying dynamics can outperform previously introduced approaches.