



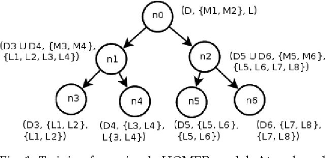
Abstract:Hierarchy Of Multi-label classifiers (HOMER) is a multi-label learning algorithm that breaks the initial learning task to several, easier sub-tasks by first constructing a hierarchy of labels from a given label set and secondly employing a given base multi-label classifier (MLC) to the resulting sub-problems. The primary goal is to effectively address class imbalance and scalability issues that often arise in real-world multi-label classification problems. In this work, we present the general setup for a HOMER model and a simple extension of the algorithm that is suited for MLCs that output rankings. Furthermore, we provide a detailed analysis of the properties of the algorithm, both from an aspect of effectiveness and computational complexity. A secondary contribution involves the presentation of a balanced variant of the k means algorithm, which serves in the first step of the label hierarchy construction. We conduct extensive experiments on six real-world datasets, studying empirically HOMER's parameters and providing examples of instantiations of the algorithm with different clustering approaches and MLCs, The empirical results demonstrate a significant improvement over the given base MLC.