Abstract:Financial markets typically exhibit dynamically complex properties as they undergo continuous interactions with economic and environmental factors. The Efficient Market Hypothesis indicates a rich difference in the structural complexity of security prices between normal (stable markets) and abnormal (financial crises) situations. Considering the analogy between market undulation of price time series and physical stress of bio-signals, we investigate whether stress indices in bio-systems can be adopted and modified so as to measure 'standard stress' in financial markets. This is achieved by employing structural complexity analysis, based on variants of univariate and multivariate sample entropy, to estimate the stress level of both financial markets on the whole and the performance of the individual financial indices. Further, we propose a novel graphical framework to establish the sensitivity of individual assets and stock markets to financial crises. This is achieved through Catastrophe Theory and entropy-based stress evaluations indicating the unique performance of each index/individual stock in response to different crises. Four major indices and four individual equities with gold prices are considered over the past 32 years from 1991-2021. Our findings based on nonlinear analyses and the proposed framework support the Efficient Market Hypothesis and reveal the relations among economic indices and within each price time series.




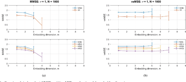
Abstract:To quantify the complexity of a system, entropy-based methods have received considerable critical attentions in real-world data analysis. Among numerous entropy algorithms, amplitude-based formulas, represented by Sample Entropy, suffer from a limitation of data length especially when it comes to practical scenarios. And this shortcoming is further highlighted by involving coarse graining procedure in multi-scale process. The unbalance between embedding dimension and data size will undoubtedly result in inaccurate and undefined estimation. To that cause, Variational Embedding Multiscale Sample Entropy is proposed in this paper, which assigns signals from various channels with distinct embedding dimensions. And this algorithm is tested by both stimulated and real signals. Furthermore, the performance of the new entropy is investigated and compared with Multivariate Multiscale Sample Entropy and Variational Embedding Multiscale Diversity Entropy. Two real-world database, wind data sets with varying regimes and physiological database recorded from young and elderly people, were utilized. As a result, the proposed algorithm gives an improved separation for both situations.