



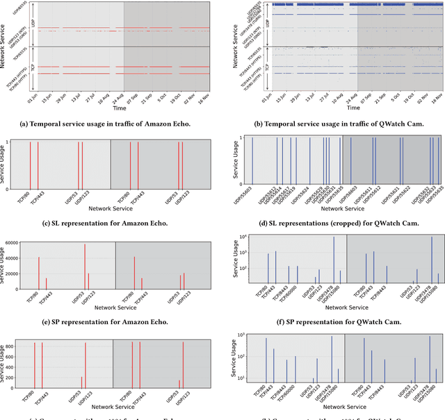
Abstract:Identifying devices such as cameras, printers, voice assistants, or health monitoring sensors, collectively known as the Internet of Things (IoT), within a network is a critical operational task, particularly to manage the cyber risks they introduce. While behavioral fingerprinting based on network traffic analysis has shown promise, most existing approaches rely on machine learning (ML) techniques applied to fine-grained features of short-lived traffic units (packets and/or flows). These methods tend to be computationally expensive, sensitive to traffic measurement errors, and often produce opaque inferences. In this paper, we propose a macroscopic, lightweight, and explainable alternative to behavioral fingerprinting focusing on the network services (e.g., TCP/80, UDP/53) that IoT devices use to perform their intended functions over extended periods. Our contributions are threefold. (1) We demonstrate that IoT devices exhibit stable and distinguishable patterns in their use of network services over a period of time. We formalize the notion of service-level fingerprints and derive a generalized method to represent network behaviors using a configurable granularity parameter. (2) We develop a procedure to extract service-level fingerprints, apply it to traffic from 13 consumer IoT device types in a lab testbed, and evaluate the resulting representations in terms of their convergence and recurrence properties. (3) We validate the efficacy of service-level fingerprints for device identification in closed-set and open-set scenarios. Our findings are based on a large dataset comprising about 10 million IPFIX flow records collected over a 1.5-year period.
Abstract:IoT networks are increasingly becoming target of sophisticated new cyber-attacks. Anomaly-based detection methods are promising in finding new attacks, but there are certain practical challenges like false-positive alarms, hard to explain, and difficult to scale cost-effectively. The IETF recent standard called Manufacturer Usage Description (MUD) seems promising to limit the attack surface on IoT devices by formally specifying their intended network behavior. In this paper, we use SDN to enforce and monitor the expected behaviors of each IoT device, and train one-class classifier models to detect volumetric attacks. Our specific contributions are fourfold. (1) We develop a multi-level inferencing model to dynamically detect anomalous patterns in network activity of MUD-compliant traffic flows via SDN telemetry, followed by packet inspection of anomalous flows. This provides enhanced fine-grained visibility into distributed and direct attacks, allowing us to precisely isolate volumetric attacks with microflow (5-tuple) resolution. (2) We collect traffic traces (benign and a variety of volumetric attacks) from network behavior of IoT devices in our lab, generate labeled datasets, and make them available to the public. (3) We prototype a full working system (modules are released as open-source), demonstrates its efficacy in detecting volumetric attacks on several consumer IoT devices with high accuracy while maintaining low false positives, and provides insights into cost and performance of our system. (4) We demonstrate how our models scale in environments with a large number of connected IoTs (with datasets collected from a network of IP cameras in our university campus) by considering various training strategies (per device unit versus per device type), and balancing the accuracy of prediction against the cost of models in terms of size and training time.




Abstract:Millions of vulnerable consumer IoT devices in home networks are the enabler for cyber crimes putting user privacy and Internet security at risk. Internet service providers (ISPs) are best poised to play key roles in mitigating risks by automatically inferring active IoT devices per household and notifying users of vulnerable ones. Developing a scalable inference method that can perform robustly across thousands of home networks is a non-trivial task. This paper focuses on the challenges of developing and applying data-driven inference models when labeled data of device behaviors is limited and the distribution of data changes (concept drift) across time and space domains. Our contributions are three-fold: (1) We collect and analyze network traffic of 24 types of consumer IoT devices from 12 real homes over six weeks to highlight the challenge of temporal and spatial concept drifts in network behavior of IoT devices; (2) We analyze the performance of two inference strategies, namely "global inference" (a model trained on a combined set of all labeled data from training homes) and "contextualized inference" (several models each trained on the labeled data from a training home) in the presence of concept drifts; and (3) To manage concept drifts, we develop a method that dynamically applies the ``closest'' model (from a set) to network traffic of unseen homes during the testing phase, yielding better performance in 20% of scenarios.




Abstract:Machine Learning-based techniques have shown success in cyber intelligence. However, they are increasingly becoming targets of sophisticated data-driven adversarial attacks resulting in misprediction, eroding their ability to detect threats on network devices. In this paper, we present AdIoTack, a system that highlights vulnerabilities of decision trees against adversarial attacks, helping cybersecurity teams quantify and refine the resilience of their trained models for monitoring IoT networks. To assess the model for the worst-case scenario, AdIoTack performs white-box adversarial learning to launch successful volumetric attacks that decision tree ensemble models cannot flag. Our first contribution is to develop a white-box algorithm that takes a trained decision tree ensemble model and the profile of an intended network-based attack on a victim class as inputs. It then automatically generates recipes that specify certain packets on top of the indented attack packets (less than 15% overhead) that together can bypass the inference model unnoticed. We ensure that the generated attack instances are feasible for launching on IP networks and effective in their volumetric impact. Our second contribution develops a method to monitor the network behavior of connected devices actively, inject adversarial traffic (when feasible) on behalf of a victim IoT device, and successfully launch the intended attack. Our third contribution prototypes AdIoTack and validates its efficacy on a testbed consisting of a handful of real IoT devices monitored by a trained inference model. We demonstrate how the model detects all non-adversarial volumetric attacks on IoT devices while missing many adversarial ones. The fourth contribution develops systematic methods for applying patches to trained decision tree ensemble models, improving their resilience against adversarial volumetric attacks.




Abstract:Social media, professional sports, and video games are driving rapid growth in live video streaming, on platforms such as Twitch and YouTube Live. Live streaming experience is very susceptible to short-time-scale network congestion since client playback buffers are often no more than a few seconds. Unfortunately, identifying such streams and measuring their QoE for network management is challenging, since content providers largely use the same delivery infrastructure for live and video-on-demand (VoD) streaming, and packet inspection techniques (including SNI/DNS query monitoring) cannot always distinguish between the two. In this paper, we design, build, and deploy ReCLive: a machine learning method for live video detection and QoE measurement based on network-level behavioral characteristics. Our contributions are four-fold: (1) We analyze about 23,000 video streams from Twitch and YouTube, and identify key features in their traffic profile that differentiate live and on-demand streaming. We release our traffic traces as open data to the public; (2) We develop an LSTM-based binary classifier model that distinguishes live from on-demand streams in real-time with over 95% accuracy across providers; (3) We develop a method that estimates QoE metrics of live streaming flows in terms of resolution and buffer stall events with overall accuracies of 93% and 90%, respectively; and (4) Finally, we prototype our solution, train it in the lab, and deploy it in a live ISP network serving more than 7,000 subscribers. Our method provides ISPs with fine-grained visibility into live video streams, enabling them to measure and improve user experience.




Abstract:Universities worldwide are experiencing a surge in enrollments, therefore campus estate managers are seeking continuous data on attendance patterns to optimize the usage of classroom space. As a result, there is an increasing trend to measure classrooms attendance by employing various sensing technologies, among which pervasive WiFi infrastructure is seen as a low cost method. In a dense campus environment, the number of connected WiFi users does not well estimate room occupancy since connection counts are polluted by adjoining rooms, outdoor walkways, and network load balancing. In this paper, we develop machine learning based models to infer classroom occupancy from WiFi sensing infrastructure. Our contributions are three-fold: (1) We analyze metadata from a dense and dynamic wireless network comprising of thousands of access points (APs) to draw insights into coverage of APs, behavior of WiFi connected users, and challenges of estimating room occupancy; (2) We propose a method to automatically map APs to classrooms using unsupervised clustering algorithms; and (3) We model classroom occupancy using a combination of classification and regression methods of varying algorithms. We achieve 84.6% accuracy in mapping APs to classrooms while the accuracy of our estimation for room occupancy is comparable to beam counter sensors with a symmetric Mean Absolute Percentage Error (sMAPE) of 13.10%.