Amazon Search




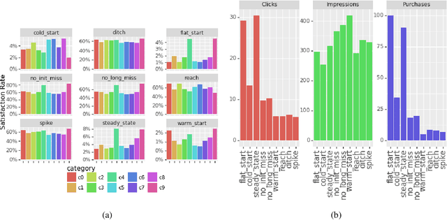
Abstract:The timed position of documents retrieved by learning to rank models can be seen as signals. Signals carry useful information such as drop or rise of documents over time or user behaviors. In this work, we propose to use the logic formalism called Signal Temporal Logic (STL) to characterize document behaviors in ranking accordingly to the specified formulas. Our analysis shows that interesting document behaviors can be easily formalized and detected thanks to STL formulas. We validate our idea on a dataset of 100K product signals. Through the presented framework, we uncover interesting patterns, such as cold start, warm start, spikes, and inspect how they affect our learning to ranks models.