



Abstract:WhatsApp is, as of 2018, a significant component of the global information and communication infrastructure, especially in developing countries. However, probably due to its strong end-to-end encryption, WhatsApp became an attractive place for the dissemination of misinformation, extremism and other forms of undesirable behavior. In this paper, we investigate the public perception of WhatsApp through the lens of media. We analyze two large datasets of news and show the kind of content that is being associated with WhatsApp in different regions of the world and over time. Our analyses include the examination of named entities, general vocabulary, and topics addressed in news articles that mention WhatsApp, as well as the polarity of these texts. Among other results, we demonstrate that the vocabulary and topics around the term "whatsapp" in the media have been changing over the years and in 2018 concentrate on matters related to misinformation, politics and criminal scams. More generally, our findings are useful to understand the impact that tools like WhatsApp play in the contemporary society and how they are seen by the communities themselves.




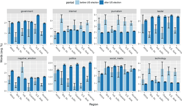
Abstract:In this article, we quantitatively analyze how the term "fake news" is being shaped in news media in recent years. We study the perception and the conceptualization of this term in the traditional media using eight years of data collected from news outlets based in 20 countries. Our results not only corroborate previous indications of a high increase in the usage of the expression "fake news", but also show contextual changes around this expression after the United States presidential election of 2016. Among other results, we found changes in the related vocabulary, in the mentioned entities, in the surrounding topics and in the contextual polarity around the term "fake news", suggesting that this expression underwent a change in perception and conceptualization after 2016. These outcomes expand the understandings on the usage of the term "fake news", helping to comprehend and more accurately characterize this relevant social phenomenon linked to misinformation and manipulation.