



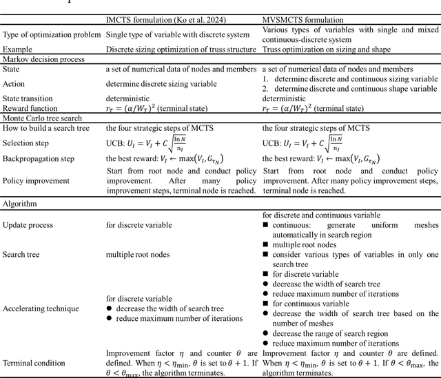
Abstract:The main concern of this study is to find the optimal design of truss structures considering sizing and layout variables simultaneously. As compared to purely sizing optimization problems, this problem is more challenging since the two types of variables involved are fundamentally different in nature. In this paper, a reinforcement learning method combining the update process and Monte Carlo tree search called the update Monte Carlo tree search (UMCTS) for sizing optimization problems is applied to solve combined sizing and layout optimization for truss structures. This study proposes a novel update process for nodal coordinates with two features. (1) The allowed range of each coordinate varies in each round. (2) Accelerators for the number of entries in the allowed range and iteration numbers are introduced to reduce the computation time. Furthermore, nodal coordinates and member areas are determined at the same time with only one search tree in each round. The validation and efficiency of the UMCTS are tested on benchmark problems of planar and spatial trusses with discrete sizing variables and continuous layout variables. It is shown that the CPU time of the UMCTS is two times faster than the branch and bound method. The numerical results demonstrate that the proposed method stably achieves a better solution than other traditional methods.




Abstract:Sizing optimization of truss structures is a complex computational problem, and the reinforcement learning (RL) is suitable for dealing with multimodal problems without gradient computations. In this paper, a new efficient optimization algorithm called update Monte Carlo tree search (UMCTS) is developed to obtain the appropriate design for truss structures. UMCTS is an RL-based method that combines the novel update process and Monte Carlo tree search (MCTS) with the upper confidence bound (UCB). Update process means that in each round, the optimal cross-sectional area of each member is determined by search tree, and its initial state is the final state in the previous round. In the UMCTS algorithm, an accelerator for the number of selections for member area and iteration number is introduced to reduce the computation time. Moreover, for each state, the average reward is replaced by the best reward collected on the simulation process to determine the optimal solution. The proposed optimization method is examined on some benchmark problems of planar and spatial trusses with discrete sizing variables to demonstrate the efficiency and validity. It is shown that the computation time for the proposed approach is at least ten times faster than the branch and bound (BB) method. The numerical results indicate that the proposed method stably achieves better solution than other conventional methods.