Abstract:Time-varying distortions in communication systems can significantly degrade the performance of soft-decision forward error correction. This paper presents a burst-aware (BA) low-density parity-check (LDPC) decoding scheme for channels affected by bursty phase noise. By applying differential coding to a Wiener process with time-varying innovation variance, bursty differential phase noise is obtained. Simulation results demonstrate that, compared to conventional decoding, the BA scheme achieves gains in the signal-to-noise ratio of up to $0.7$~dB at a bit error rate (BER) of $4\cdot10^{-3}$ and more than $1$~dB at a packet error rate (PER) of $1\cdot10^{-2}$. Furthermore, by iterating between channel estimation and \ac{ldpc} decoding, forming the proposed iterative burst-aware (IBA) decoding scheme, the gains increase to $1.4$~dB and more than $3$~dB, respectively. More importantly, the IBA scheme significantly improves robustness to bursty phase noise. Compared with the conventional scheme, the IBA scheme can reduce both \ac{ber} and \ac{per} by up to two orders of magnitude under severe bursty phase noise.
Abstract:We present quasicyclic principal component analysis (QPCA), a generalization of principal component analysis (PCA), that determines an optimized basis for a dataset in terms of families of shift-orthogonal principal vectors. This is of particular interest when analyzing cyclostationary data, whose cyclic structure is not exploited by the standard PCA algorithm. We first formulate QPCA as an optimization problem, which we show may be decomposed into a series of PCA problems in the frequency domain. We then formalize our solution as an explicit algorithm and analyze its computational complexity. Finally, we provide some examples of applications of QPCA to cyclostationary signal processing data, including an investigation of carrier pulse recovery, a presentation of methods for estimating an unknown oversampling rate, and a discussion of an appropriate approach for pre-processing data with a non-integer oversampling rate in order to better apply the QPCA algorithm.




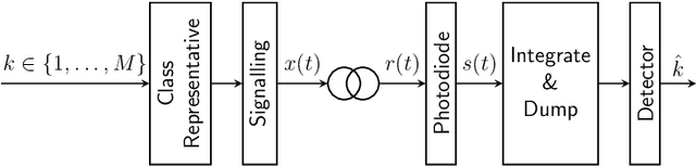
Abstract:A new direct-detection-compatible signalling scheme is proposed for fiber-optic communication over short distances. Controlled inter-symbol interference is exploited to extract phase information, thereby achieving data rates within one bit per channel-use of those of a coherent detector.