Abstract:Providing ultra-reliable and low-latency transmission is a current issue in wireless communications (URLLC). While it is commonly known that channel coding with large codewords improves reliability, this usually necessitates using interleavers, which incur undesired latency. Using short codewords is a necessary adjustment that will eliminate the requirement for interleaving and reduce decoding latency. This paper suggests a coding and decoding system that, combined with the high spectral efficiency of spatial multiplexing, can provide URLLC over a fading wireless channel. Random linear codes (RLCs) are used over a block-fading massive multiple input-multiple-output (mMIMO) channel followed by zero-forcing (ZF) detection and guessing random additive noise decoding (GRAND). A variation of GRAND, called symbol-level GRAND, originally proposed for single-antenna systems, is generalized to spatial multiplexing. Symbol-level GRAND is much more computationally effective than bit-level GRAND as it takes advantage of the structure of the constellation of the modulation. The paper analyses the performance of symbol-level GRAND depending on the orthogonality defect (OD) of the underlying lattice. Symbol-level GRAND takes advantage of the a priori probability of each error pattern given a received symbol, and specifies the order in which error patterns are tested. The paper further proposes to make use of further side-information that comes from the mMIMO channel-state information (CSI) and its impacts on the reliability of each antenna. This induces an antenna sorting order that further reduces the decoding complexity by over 80 percent when comparing with bit-level GRAND.




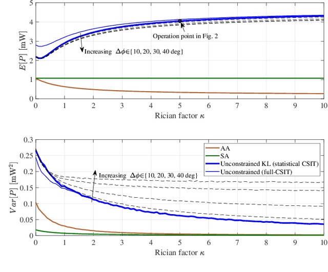
Abstract:Wireless energy transfer (WET) is a promising solution to enable massive machine-type communications (mMTC) with low-complexity and low-powered wireless devices. Given the energy restrictions of the devices, instant channel state information at the transmitter (CSIT) is not expected to be available in practical WET-enabled mMTC. However, because it is common that the terminals appear spatially clustered, some degree of spatial correlation between their channels to the base station (BS) is expected to occur. The paper considers a massive antenna array at the BS for WET that only has access to i) the first and second order statistics of the Rician channel component of the multiple-input multiple-output (MIMO) channel and also to ii) the line-of-sight MIMO component. The optimal precoding scheme that maximizes the total energy available to the single-antenna devices is derived considering a continuous alphabet for the precoders, permitting any modulated or deterministic waveform. This may lead to some devices in the clusters being assigned a low fraction of the total available power in the cluster, creating a rather uneven situation among them. Consequently, a fairness criterion is introduced, imposing a minimum amount of power allocated to the terminals. A piece-wise linear harvesting circuit is considered at the terminals, with both saturation and a minimum sensitivity, and a constrained version of the precoder is also proposed by solving a non-linear programming problem. A paramount benefit of the constrained precoder is the encompassment of fairness in the power allocation to the different clusters. Moreover, given the polynomial complexity increase of the proposed unconstrained precoder, and the observed linear gain of the system's available sum-power with an increasing number of antennas at the ULA, the use of massive antenna arrays is desirable.