



Abstract:Zipf's law establishes a scaling behavior for word-frequencies in large text corpora. The appearance of Zipfian properties in human language has been previously explained as an optimization problem for the interests of speakers and hearers. On the other hand, human-like vocabularies can be viewed as bipartite graphs. The aim here is double: within a bipartite-graph approach to human vocabularies, to propose a decentralized language game model for the formation of Zipfian properties. To do this, we define a language game, in which a population of artificial agents is involved in idealized linguistic interactions. Numerical simulations show the appearance of a phase transition from an initially disordered state to three possible phases for language formation. Our results suggest that Zipfian properties in language seem to arise partly from decentralized linguistic interactions between agents endowed with bipartite word-meaning mappings.



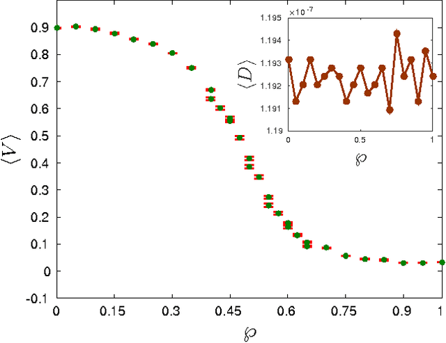
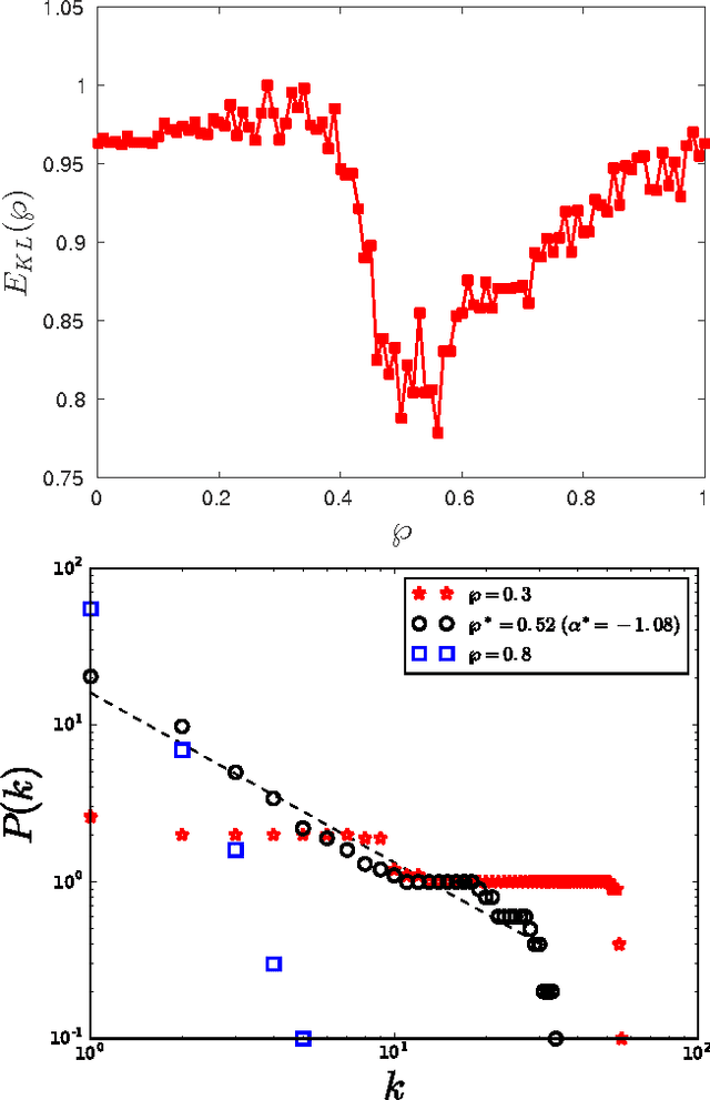
Abstract:Background/Introduction: The Zipf's law establishes that if the words of a (large) text are ordered by decreasing frequency, the frequency versus the rank decreases as a power law with exponent close to -1. Previous work has stressed that this pattern arises from a conflict of interests of the participants of communication: speakers and hearers. Methods: The challenge here is to define a computational language game on a population of agents, playing games mainly based on a parameter that measures the relative participant's interests. Results: Numerical simulations suggest that at critical values of the parameter a human-like vocabulary, exhibiting scaling properties, seems to appear. Conclusions: The appearance of an intermediate distribution of frequencies at some critical values of the parameter suggests that on a population of artificial agents the emergence of scaling partly arises as a self-organized process only from local interactions between agents.




Abstract:Can artificial communities of agents develop language with scaling relations close to the Zipf law? As a preliminary answer to this question, we propose an Automata Networks model of the formation of a vocabulary on a population of individuals, under two in principle opposite strategies: the alignment and the least effort principle. Within the previous account to the emergence of linguistic conventions (specially, the Naming Game), we focus on modeling speaker and hearer efforts as actions over their vocabularies and we study the impact of these actions on the formation of a shared language. The numerical simulations are essentially based on an energy function, that measures the amount of local agreement between the vocabularies. The results suggests that on one dimensional lattices the best strategy to the formation of shared languages is the one that minimizes the efforts of speakers on communicative tasks.