Abstract:Regression methods are fundamental for scientific and technological applications. However, fitted models can be highly unreliable outside of their training domain, and hence the quantification of their uncertainty is crucial in many of their applications. Based on the solution of a constrained optimization problem, we propose "prediction rigidities" as a method to obtain uncertainties of arbitrary pre-trained regressors. We establish a strong connection between our framework and Bayesian inference, and we develop a last-layer approximation that allows the new method to be applied to neural networks. This extension affords cheap uncertainties without any modification to the neural network itself or its training procedure. We show the effectiveness of our method on a wide range of regression tasks, ranging from simple toy models to applications in chemistry and meteorology.




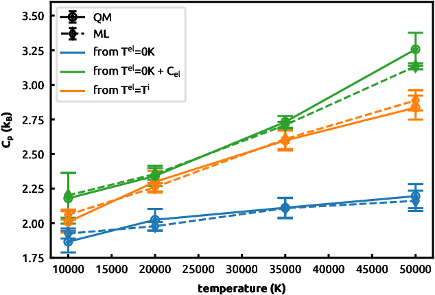
Abstract:Machine-learning potentials are usually trained on the ground-state, Born-Oppenheimer energy surface, which depends exclusively on the atomic positions and not on the simulation temperature. This disregards the effect of thermally-excited electrons, that is important in metals, and essential to the description of warm dense matter. An accurate physical description of these effects requires that the nuclei move on a temperature-dependent electronic free energy. We propose a method to obtain machine-learning predictions of this free energy at an arbitrary electron temperature using exclusively training data from ground-state calculations, avoiding the need to train temperature-dependent potentials. We benchmark our method on metallic liquid hydrogen at the conditions of the core of gas giants and brown dwarfs.