


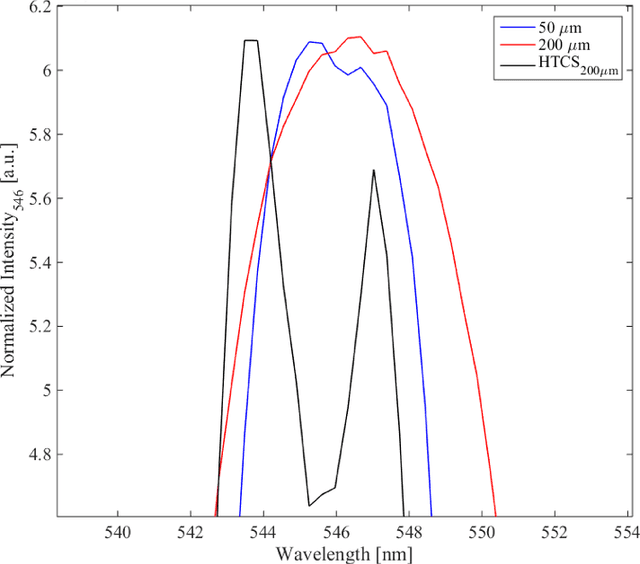
Abstract:There exists a fundamental tradeoff between spectral resolution and the efficiency or throughput for all optical spectrometers. The primary factors affecting the spectral resolution and throughput of an optical spectrometer are the size of the entrance aperture and the optical power of the focusing element. Thus far collective optimization of the above mentioned has proven difficult. Here, we introduce the concept of high-throughput computational slits (HTCS), a numerical technique for improving both the effective spectral resolution and efficiency of a spectrometer. The proposed HTCS approach was experimentally validated using an optical spectrometer configured with a 200 um entrance aperture, test, and a 50 um entrance aperture, control, demonstrating improvements in spectral resolution of the spectrum by ~ 50% over the control spectral resolution and improvements in efficiency of > 2 times over the efficiency of the largest entrance aperture used in the study while producing highly accurate spectra.




Abstract:Wide-field lensfree on-chip microscopy, which leverages holography principles to capture interferometric light-field encodings without lenses, is an emerging imaging modality with widespread interest given the large field-of-view compared to lens-based techniques. In this study, we introduce the idea of laser light-field fusion for lensfree on-chip phase contrast nanoscopy, where interferometric laser light-field encodings acquired using an on-chip setup with laser pulsations at different wavelengths are fused to produce marker-free phase contrast images of superior quality with resolving power more than five times below the pixel pitch of the sensor array and more than 40% beyond the diffraction limit. As a proof of concept, we demonstrate, for the first time, a wide-field lensfree on-chip instrument successfully detecting 300 nm particles, resulting in a numerical aperture of 1.1, across a large field-of-view of $\sim$ 30 mm$^2$ without any specialized or intricate sample preparation, or the use of synthetic aperture- or shift-based techniques.




Abstract:The simultaneous capture of imaging data at multiple wavelengths across the electromagnetic spectrum is highly challenging, requiring complex and costly multispectral image sensors. In this study, we introduce a comprehensive framework for performing simultaneous multispectral imaging using conventional image sensors with color filter arrays via numerical demultiplexing of the color image sensor measurements. A numerical forward model characterizing the formation of sensor measurements from light spectra hitting the sensor is constructed based on a comprehensive spectral characterization of the sensor. A numerical demultiplexer is then learned via non-linear random forest modeling based on the forward model. Given the learned numerical demultiplexer, one can then demultiplex simultaneously-acquired measurements made by the image sensor into reflectance intensities at discrete selectable wavelengths, resulting in a higher resolution reflectance spectrum. Simulation and real-world experimental results demonstrate the efficacy of such a method for simultaneous multispectral imaging.




Abstract:Photoplethysmography (PPG) devices are widely used for monitoring cardiovascular function. However, these devices require skin contact, which restrict their use to at-rest short-term monitoring using single-point measurements. Photoplethysmographic imaging (PPGI) has been recently proposed as a non-contact monitoring alternative by measuring blood pulse signals across a spatial region of interest. Existing systems operate in reflectance mode, of which many are limited to short-distance monitoring and are prone to temporal changes in ambient illumination. This paper is the first study to investigate the feasibility of long-distance non-contact cardiovascular monitoring at the supermeter level using transmittance PPGI. For this purpose, a novel PPGI system was designed at the hardware and software level using ambient correction via temporally coded illumination (TCI) and signal processing for PPGI signal extraction. Experimental results show that the processing steps yield a substantially more pulsatile PPGI signal than the raw acquired signal, resulting in statistically significant increases in correlation to ground-truth PPG in both short- ($p \in [<0.0001, 0.040]$) and long-distance ($p \in [<0.0001, 0.056]$) monitoring. The results support the hypothesis that long-distance heart rate monitoring is feasible using transmittance PPGI, allowing for new possibilities of monitoring cardiovascular function in a non-contact manner.