Abstract:In this report we investigate the use of the Tustin neural network architecture (Tustin-Net) for the identification of a physical rotary inverse pendulum. This physics-based architecture is of particular interest as it builds on the known relationship between velocities and positions. We here aim at discussing the advantages, limitations and performance of Tustin-Nets compared to first-principles grey-box models on a real physical apparatus, showing how, with a standard training procedure, the former can hardly achieve the same accuracy as the latter. To address this limitation, we present a training strategy based on transfer learning that yields Tustin-Nets that are competitive with the first-principles model, without requiring extensive knowledge of the setup as the latter.
Abstract:The goal of this paper is to provide a system identification-friendly introduction to the Structured State-space Models (SSMs). These models have become recently popular in the machine learning community since, owing to their parallelizability, they can be efficiently and scalably trained to tackle extremely-long sequence classification and regression problems. Interestingly, SSMs appear as an effective way to learn deep Wiener models, which allows to reframe SSMs as an extension of a model class commonly used in system identification. In order to stimulate a fruitful exchange of ideas between the machine learning and system identification communities, we deem it useful to summarize the recent contributions on the topic in a structured and accessible form. At last, we highlight future research directions for which this community could provide impactful contributions.
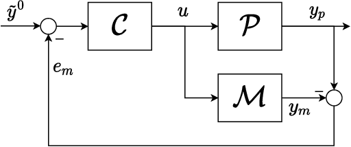
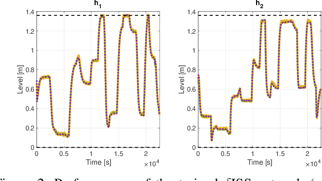
Abstract:This brief addresses the design of a Nonlinear Model Predictive Control (NMPC) strategy for exponentially incremental Input-to-State Stable (ISS) systems. In particular, a novel formulation is devised, which does not necessitate the onerous computation of terminal ingredients, but rather relies on the explicit definition of a minimum prediction horizon ensuring closed-loop stability. The designed methodology is particularly suited for the control of systems learned by Recurrent Neural Networks (RNNs), which are known for their enhanced modeling capabilities and for which the incremental ISS properties can be studied thanks to simple algebraic conditions. The approach is applied to Gated Recurrent Unit (GRU) networks, providing also a method for the design of a tailored state observer with convergence guarantees. The resulting control architecture is tested on a benchmark system, demonstrating its good control performances and efficient applicability.
Abstract:The aim of this work is to investigate the use of Incrementally Input-to-State Stable ($\delta$ISS) deep Long Short Term Memory networks (LSTMs) for the identification of nonlinear dynamical systems. We show that suitable sufficient conditions on the weights of the network can be leveraged to setup a training procedure able to learn provenly-$\delta$ISS LSTM models from data. The proposed approach is tested on a real brake-by-wire apparatus to identify a model of the system from input-output experimentally collected data. Results show satisfactory modeling performances.




Abstract:This paper proposes a method for lifelong learning of Recurrent Neural Networks, such as NNARX, ESN, LSTM, and GRU, to be used as plant models in control system synthesis. The problem is significant because in many practical applications it is required to adapt the model when new information is available and/or the system undergoes changes, without the need to store an increasing amount of data as time proceeds. Indeed, in this context, many problems arise, such as the well known Catastrophic Forgetting and Capacity Saturation ones. We propose an adaptation algorithm inspired by Moving Horizon Estimators, deriving conditions for its convergence. The described method is applied to a simulated chemical plant, already adopted as a challenging benchmark in the existing literature. The main results achieved are discussed.




Abstract:This paper deals with the design of nonlinear MPC controllers that provide offset-free setpoint tracking for models described by Neural Nonlinear AutoRegressive eXogenous (NNARX) networks. The NNARX model is identified from input-output data collected from the plant, and can be given a state-space representation with known measurable states made by past input and output variables, so that a state observer is not required. In the training phase, the Incremental Input-to-State Stability ({\delta}ISS) property can be forced when consistent with the behavior of the plant. The {\delta}ISS property is then leveraged to augment the model with an explicit integral action on the output tracking error, which allows to achieve offset-free tracking capabilities to the designed control scheme. The proposed control architecture is numerically tested on a water heating system and the achieved results are compared to those scored by another popular offset-free MPC method, showing that the proposed scheme attains remarkable performances even in presence of disturbances acting on the plant.




Abstract:This paper aims to discuss and analyze the potentialities of Recurrent Neural Networks (RNN) in control design applications. The main families of RNN are considered, namely Neural Nonlinear AutoRegressive eXogenous, (NNARX), Echo State Networks (ESN), Long Short Term Memory (LSTM), and Gated Recurrent Units (GRU). The goal is twofold. Firstly, to survey recent results concerning the training of RNN that enjoy Input-to-State Stability (ISS) and Incremental Input-to-State Stability ({\delta}ISS) guarantees. Secondly, to discuss the issues that still hinder the widespread use of RNN for control, namely their robustness, verifiability, and interpretability. The former properties are related to the so-called generalization capabilities of the networks, i.e. their consistency with the underlying real plants, even in presence of unseen or perturbed input trajectories. The latter is instead related to the possibility of providing a clear formal connection between the RNN model and the plant. In this context, we illustrate how ISS and {\delta}ISS represent a significant step towards the robustness and verifiability of the RNN models, while the requirement of interpretability paves the way to the use of physics-based networks. The design of model predictive controllers with RNN as plant's model is also briefly discussed. Lastly, some of the main topics of the paper are illustrated on a simulated chemical system.




Abstract:Owing to their superior modeling capabilities, gated Recurrent Neural Networks (RNNs), such as Gated Recurrent Units (GRUs) and Long Short-Term Memory networks (LSTMs), have become popular tools for learning dynamical systems. This paper aims to discuss how these networks can be adopted for the synthesis of Internal Model Control (IMC) architectures. To this end, a first gated RNN is used to learn a model of the unknown input-output stable plant. Then, another gated RNN approximating the model inverse is trained. The proposed scheme is able to cope with the saturation of the control variables, and it can be deployed on low-power embedded controllers since it does not require any online computation. The approach is then tested on the Quadruple Tank benchmark system, resulting in satisfactory closed-loop performances.




Abstract:The use of Recurrent Neural Networks (RNNs) for system identification has recently gathered increasing attention, thanks to their black-box modeling capabilities.Albeit RNNs have been fruitfully adopted in many applications, only few works are devoted to provide rigorous theoretical foundations that justify their use for control purposes. The aim of this paper is to describe how stable Gated Recurrent Units (GRUs), a particular RNN architecture, can be trained and employed in a Nonlinear MPC framework to perform offset-free tracking of constant references with guaranteed closed-loop stability. The proposed approach is tested on a pH neutralization process benchmark, showing remarkable performances.




Abstract:The goal of this paper is to provide sufficient conditions for guaranteeing the Input-to-State Stability (ISS) and the Incremental Input-to-State Stability ({\delta}ISS) of Gated Recurrent Units (GRUs) neural networks. These conditions, devised for both single-layer and multi-layer architectures, consist of nonlinear inequalities on network's weights. They can be employed to check the stability of trained networks, or can be enforced as constraints during the training procedure of a GRU. The resulting training procedure is tested on a Quadruple Tank nonlinear benchmark system, showing satisfactory modeling performances.