



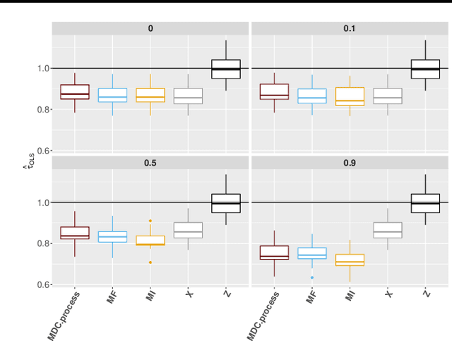
Abstract:Inferring causal effects of a treatment, intervention or policy from observational data is central to many applications. However, state-of-the-art methods for causal inference seldom consider the possibility that covariates have missing values, which is ubiquitous in many real-world analyses. Missing data greatly complicate causal inference procedures as they require an adapted unconfoundedness hypothesis which can be difficult to justify in practice. We circumvent this issue by considering latent confounders whose distribution is learned through variational autoencoders adapted to missing values. They can be used either as a pre-processing step prior to causal inference but we also suggest to embed them in a multiple imputation strategy to take into account the variability due to missing values. Numerical experiments demonstrate the effectiveness of the proposed methodology especially for non-linear models compared to competitors.