Abstract:Understanding actions within surgical workflows is essential for evaluating post-operative outcomes. However, capturing long sequences of actions performed in surgical settings poses challenges, as individual surgeons have their unique approaches shaped by their expertise, leading to significant variability. To tackle this complex problem, we focused on segmentation with precise boundaries, a demanding task due to the inherent variability in action durations and the subtle transitions often observed in untrimmed videos. These transitions, marked by ambiguous starting and ending points, complicate the segmentation process. Traditional models, such as MS-TCN, which depend on large receptive fields, frequently face challenges of over-segmentation (resulting in fragmented segments) or under-segmentation (merging distinct actions). Both of these issues negatively impact the quality of segmentation. To overcome these challenges, we present the Multi-Stage Boundary-Aware Transformer Network (MSBATN) with hierarchical sliding window attention, designed to enhance action segmentation. Our proposed approach incorporates a novel unified loss function that treats action classification and boundary detection as distinct yet interdependent tasks. Unlike traditional binary boundary detection methods, our boundary voting mechanism accurately identifies start and end points by leveraging contextual information. Extensive experiments using three challenging surgical datasets demonstrate the superior performance of the proposed method, achieving state-of-the-art results in F1 scores at thresholds of 25% and 50%, while also delivering comparable performance in other metrics.





Abstract:Retrofitting and thermographic survey (TS) companies in Scotland collaborate with social housing providers to tackle fuel poverty. They employ ground-level infrared (IR) camera-based-TSs (GIRTSs) for collecting thermal images to identi-fy the heat loss sources resulting from poor insulation. However, this identifica-tion process is labor-intensive and time-consuming, necessitating extensive data processing. To automate this, an AI-driven approach is necessary. Therefore, this study proposes a deep learning (DL)-based segmentation framework using the Mask Region Proposal Convolutional Neural Network (Mask RCNN) to validate its applicability to these thermal images. The objective of the framework is to au-tomatically identify, and crop heat loss sources caused by weak insulation, while also eliminating obstructive objects present in those images. By doing so, it min-imizes labor-intensive tasks and provides an automated, consistent, and reliable solution. To validate the proposed framework, approximately 2500 thermal imag-es were collected in collaboration with industrial TS partner. Then, 1800 repre-sentative images were carefully selected with the assistance of experts and anno-tated to highlight the target objects (TO) to form the final dataset. Subsequently, a transfer learning strategy was employed to train the dataset, progressively aug-menting the training data volume and fine-tuning the pre-trained baseline Mask RCNN. As a result, the final fine-tuned model achieved a mean average precision (mAP) score of 77.2% for segmenting the TO, demonstrating the significant po-tential of proposed framework in accurately quantifying energy loss in Scottish homes.





Abstract:In recent years, deep learning has rapidly become a method of choice for the segmentation of medical images. Deep Neural Network (DNN) architectures such as UNet have achieved state-of-the-art results on many medical datasets. To further improve the performance in the segmentation task, we develop an ensemble system which combines various deep learning architectures. We propose a two-layer ensemble of deep learning models for the segmentation of medical images. The prediction for each training image pixel made by each model in the first layer is used as the augmented data of the training image for the second layer of the ensemble. The prediction of the second layer is then combined by using a weights-based scheme in which each model contributes differently to the combined result. The weights are found by solving linear regression problems. Experiments conducted on two popular medical datasets namely CAMUS and Kvasir-SEG show that the proposed method achieves better results concerning two performance metrics (Dice Coefficient and Hausdorff distance) compared to some well-known benchmark algorithms.





Abstract:Random Forest (RF) is an ensemble classification technique that was developed by Breiman over a decade ago. Compared with other ensemble techniques, it has proved its accuracy and superiority. Many researchers, however, believe that there is still room for enhancing and improving its performance in terms of predictive accuracy. This explains why, over the past decade, there have been many extensions of RF where each extension employed a variety of techniques and strategies to improve certain aspect(s) of RF. Since it has been proven empirically that ensembles tend to yield better results when there is a significant diversity among the constituent models, the objective of this paper is twofolds. First, it investigates how an unsupervised learning technique, namely, Local Outlier Factor (LOF) can be used to identify diverse trees in the RF. Second, trees with the highest LOF scores are then used to produce an extension of RF termed LOFB-DRF that is much smaller in size than RF, and yet performs at least as good as RF, but mostly exhibits higher performance in terms of accuracy. The latter refers to a known technique called ensemble pruning. Experimental results on 10 real datasets prove the superiority of our proposed extension over the traditional RF. Unprecedented pruning levels reaching 99% have been achieved at the time of boosting the predictive accuracy of the ensemble. The notably high pruning level makes the technique a good candidate for real-time applications.





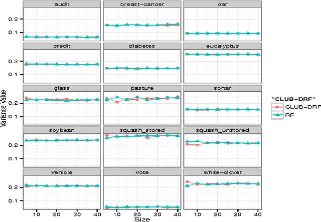
Abstract:Random Forest (RF) is an ensemble supervised machine learning technique that was developed by Breiman over a decade ago. Compared with other ensemble techniques, it has proved its accuracy and superiority. Many researchers, however, believe that there is still room for enhancing and improving its performance accuracy. This explains why, over the past decade, there have been many extensions of RF where each extension employed a variety of techniques and strategies to improve certain aspect(s) of RF. Since it has been proven empiricallthat ensembles tend to yield better results when there is a significant diversity among the constituent models, the objective of this paper is twofold. First, it investigates how data clustering (a well known diversity technique) can be applied to identify groups of similar decision trees in an RF in order to eliminate redundant trees by selecting a representative from each group (cluster). Second, these likely diverse representatives are then used to produce an extension of RF termed CLUB-DRF that is much smaller in size than RF, and yet performs at least as good as RF, and mostly exhibits higher performance in terms of accuracy. The latter refers to a known technique called ensemble pruning. Experimental results on 15 real datasets from the UCI repository prove the superiority of our proposed extension over the traditional RF. Most of our experiments achieved at least 95% or above pruning level while retaining or outperforming the RF accuracy.
