
Abstract:Evolution by natural selection, which is one of the most compelling themes of modern science, brought forth evolutionary algorithms and evolutionary computation, applying mechanisms of evolution in nature to various problems solved by computers. In this paper we concentrate on evolutionary automata that constitute an analogous model of evolutionary computation compared to well-known evolutionary algorithms. Evolutionary automata provide a more complete dual model of evolutionary computation, similar like abstract automata (e.g., Turing machines) form a more formal and precise model compared to recursive algorithms and their subset - evolutionary algorithms. An evolutionary automaton is an automaton that evolves performing evolutionary computation perhaps using an infinite number of generations. This model allows for a direct modeling evolution of evolution, and leads to tremendous expressiveness of evolutionary automata and evolutionary computation. This also gives the hint to the power of natural evolution that is self-evolving by interactive feedback with the environment.
Abstract:One of the roots of evolutionary computation was the idea of Turing about unorganized machines. The goal of this work is the development of foundations for evolutionary computations, connecting Turing's ideas and the contemporary state of art in evolutionary computations. To achieve this goal, we develop a general approach to evolutionary processes in the computational context, building mathematical models of computational systems, functioning of which is based on evolutionary processes, and studying properties of such systems. Operations with evolutionary machines are described and it is explored when definite classes of evolutionary machines are closed with respect to basic operations with these machines. We also study such properties as linguistic and functional equivalence of evolutionary machines and their classes, as well as computational power of evolutionary machines and their classes, comparing of evolutionary machines to conventional automata, such as finite automata or Turing machines.
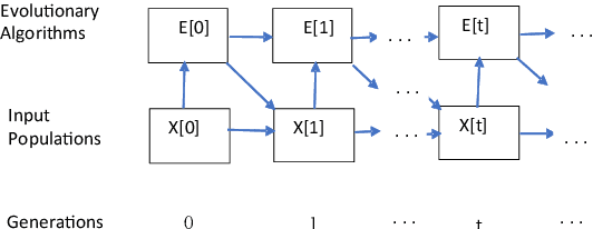
Abstract:Evolutionary processes proved very useful for solving optimization problems. In this work, we build a formalization of the notion of cooperation and competition of multiple systems working toward a common optimization goal of the population using evolutionary computation techniques. It is justified that evolutionary algorithms are more expressive than conventional recursive algorithms. Three subclasses of evolutionary algorithms are proposed here: bounded finite, unbounded finite and infinite types. Some results on completeness, optimality and search decidability for the above classes are presented. A natural extension of Evolutionary Turing Machine model developed in this paper allows one to mathematically represent and study properties of cooperation and competition in a population of optimized species.