



Abstract:Anomaly detection at scale is an extremely challenging problem of great practicality. When data is large and high-dimensional, it can be difficult to detect which observations do not fit the expected behaviour. Recent work has coalesced on variations of (random) $k$\emph{d-trees} to summarise data for anomaly detection. However, these methods rely on ad-hoc score functions that are not easy to interpret, making it difficult to asses the severity of the detected anomalies or select a reasonable threshold in the absence of labelled anomalies. To solve these issues, we contextualise these methods in a probabilistic framework which we call the Mondrian \Polya{} Forest for estimating the underlying probability density function generating the data and enabling greater interpretability than prior work. In addition, we develop a memory efficient variant able to operate in the modern streaming environments. Our experiments show that these methods achieves state-of-the-art performance while providing statistically interpretable anomaly scores.




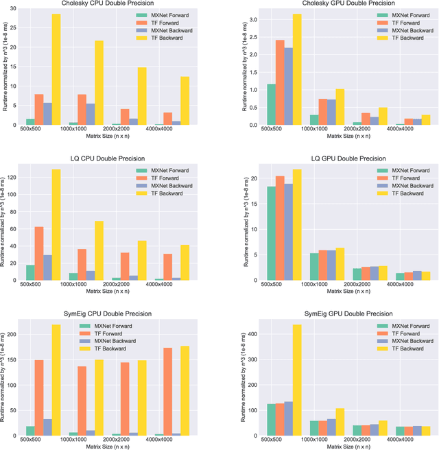
Abstract:Development systems for deep learning (DL), such as Theano, Torch, TensorFlow, or MXNet, are easy-to-use tools for creating complex neural network models. Since gradient computations are automatically baked in, and execution is mapped to high performance hardware, these models can be trained end-to-end on large amounts of data. However, it is currently not easy to implement many basic machine learning primitives in these systems (such as Gaussian processes, least squares estimation, principal components analysis, Kalman smoothing), mainly because they lack efficient support of linear algebra primitives as differentiable operators. We detail how a number of matrix decompositions (Cholesky, LQ, symmetric eigen) can be implemented as differentiable operators. We have implemented these primitives in MXNet, running on CPU and GPU in single and double precision. We sketch use cases of these new operators, learning Gaussian process and Bayesian linear regression models, where we demonstrate very substantial reductions in implementation complexity and running time compared to previous codes. Our MXNet extension allows end-to-end learning of hybrid models, which combine deep neural networks (DNNs) with Bayesian concepts, with applications in advanced Gaussian process models, scalable Bayesian optimization, and Bayesian active learning.