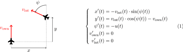
ISAE-SUPAERO




Abstract:In this paper, we propose a system-level approach for verifying the safety of neural network controlled systems, combining a continuous-time physical system with a discrete-time neural network based controller. We assume a generic model for the controller that can capture both simple and complex behaviours involving neural networks. Based on this model, we perform a reachability analysis that soundly approximates the reachable states of the overall system, allowing to achieve a formal proof of safety. To this end, we leverage both validated simulation to approximate the behaviour of the physical system and abstract interpretation to approximate the behaviour of the controller. We evaluate the applicability of our approach using a real-world use case. Moreover, we show that our approach can provide valuable information when the system cannot be proved totally safe.