


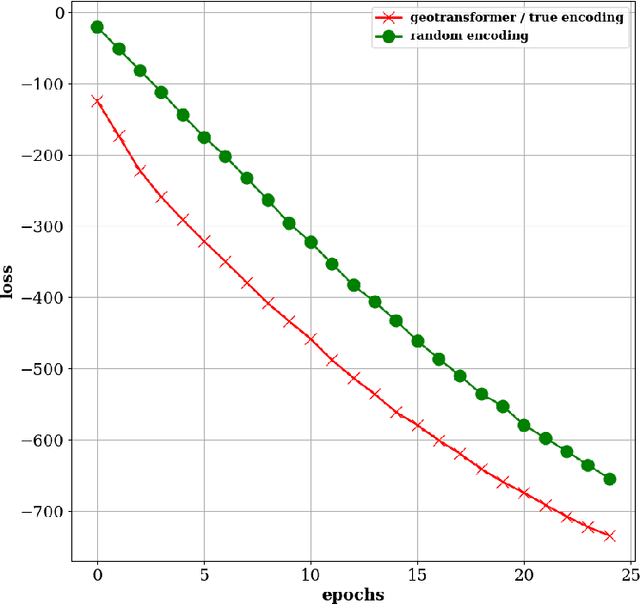
Abstract:In transformer architectures, position encoding primarily provides a sense of sequence for input tokens. While the original transformer paper's method has shown satisfactory results in general language processing tasks, there have been new proposals, such as Rotary Position Embedding (RoPE), for further improvement. This paper presents geotokens, input components for transformers, each linked to a specific geological location. Unlike typical language sequences, for these tokens, the order is not as vital as the geographical coordinates themselves. To represent the relative position in this context and to keep a balance between the real world distance and the distance in the embedding space, we design a position encoding approach drawing from the RoPE structure but tailored for spherical coordinates.
Abstract:Due to the limited availability of high quality datasets for training sentence embeddings in Turkish, we propose a training methodology and a regimen to develop a sentence embedding model. The central idea is simple but effective : is to fine-tune a pretrained encoder-decoder model in two consecutive stages, where the first stage involves aligning the embedding space with translation pairs. Thanks to this alignment, the prowess of the main model can be better projected onto the target language in a sentence embedding setting where it can be fine-tuned with high accuracy in short duration with limited target language dataset.




Abstract:Large Language Models (LLMs) are evolving to integrate multiple modalities, such as text, image, and audio into a unified linguistic space. We envision a future direction based on this framework where conceptual entities defined in sequences of text can also be imagined as modalities. Such a formulation has the potential to overcome the cognitive and computational limitations of current models. Several illustrative examples of such potential implicit modalities are given. Along with vast promises of the hypothesized structure, expected challenges are discussed as well.


Abstract:Position encoding is the primary mechanism which induces notion of sequential order for input tokens in transformer architectures. Even though this formulation in the original transformer paper has yielded plausible performance for general purpose language understanding and generation, several new frameworks such as Rotary Position Embedding (RoPE) are proposed for further enhancement. In this paper, we introduce the notion of "geotokens" which are input elements for transformer architectures, each representing an information related to a geological location. Unlike the natural language the sequential position is not important for the model but the geographical coordinates are. In order to induce the concept of relative position for such a setting and maintain the proportion between the physical distance and distance on embedding space, we formulate a position encoding mechanism based on RoPE architecture which is adjusted for spherical coordinates.




Abstract:The swift advancement and widespread availability of foundational Large Language Models (LLMs), complemented by robust fine-tuning methodologies, have catalyzed their adaptation for innovative and industrious applications. Enabling LLMs to recognize and interpret geospatial data, while offering a linguistic access to vast cartographic datasets, is of significant importance. OpenStreetMap (OSM) is the most ambitious open-source global initiative offering detailed urban and rural geographic data, curated by a community of over 10 million contributors, which constitutes a great potential for LLM applications. In this study, we demonstrate the proof of concept and details of the process of fine-tuning a relatively small scale (1B parameters) LLM with a relatively small artificial dataset curated by a more capable teacher model, in order to provide a linguistic interface to the OSM data of an arbitrary urban region. Through this interface, users can inquire about a location's attributes, covering a wide spectrum of concepts, such as its touristic appeal or the potential profitability of various businesses in that vicinity. The study aims to provide an initial guideline for such generative artificial intelligence (AI) adaptations and demonstrate early signs of useful emerging abilities in this context even in minimal computational settings. The embeddings of artificially curated prompts including OSM data are also investigated in detail, which might be instrumental for potential geospatially aware urban Retrieval Augmented Generation (RAG) applications.



Abstract:With recent empirical observations, it has been argued that the most significant aspect of developing accurate language models may be the proper dataset content and training strategy compared to the number of neural parameters, training duration or dataset size. Following this argument, we opted to fine tune a one billion parameter size trained general purpose causal language model with a dataset curated on team statistics of the Italian football league first ten game weeks, using low rank adaptation. The limited training dataset was compiled based on a framework where a powerful commercial large language model provides distilled paragraphs and question answer pairs as intended. The training duration was kept relatively short to provide a basis for our minimal setting exploration. We share our key observations on the process related to developing a specific purpose language model which is intended to interpret soccer data with constrained resources in this article.



Abstract:It is evident that the current state of Large Language Models (LLMs) necessitates the incorporation of external tools. The lack of straightforward algebraic and logical reasoning is well documented and prompted researchers to develop frameworks which allow LLMs to operate via external tools. The ontological nature of tool utilization for a specific task can be well formulated with a Directed Acyclic Graph (DAG). The central aim of the paper is to highlight the importance of graph based approaches to LLM-tool interaction in near future. We propose an exemplary framework to guide the orchestration of exponentially increasing numbers of external tools with LLMs,where objectives and functionalities of tools are graph encoded hierarchically. Assuming that textual segments of a Chain-of-Thought (CoT) can be imagined as a tool as defined here, the graph based framework can pave new avenues in that particular direction as well.