



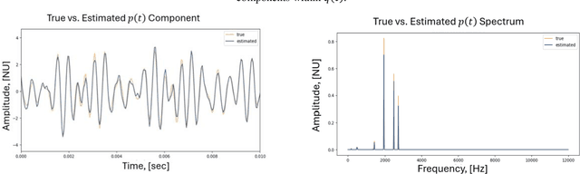
Abstract:Vibrations of rotating machinery primarily originate from two sources, both of which are distorted by the machine's transfer function on their way to the sensor: the dominant gear-related vibrations and a low-energy signal linked to bearing faults. The proposed method facilitates the blind separation of vibration sources, eliminating the need for any information about the monitored equipment or external measurements. This method estimates both sources in two stages: initially, the gear signal is isolated using a dilated CNN, followed by the estimation of the bearing fault signal using the squared log envelope of the residual. The effect of the transfer function is removed from both sources using a novel whitening-based deconvolution method (WBD). Both simulation and experimental results demonstrate the method's ability to detect bearing failures early when no additional information is available. This study considers both local and distributed bearing faults, assuming that the vibrations are recorded under stable operating conditions.
Abstract:This method solves the dual problem of blind deconvolution and estimation of the time waveform of noisy second-order cyclo-stationary (CS2) signals that traverse a Transfer Function (TF) en route to a sensor. We have proven that the deconvolution filter exists and eliminates the TF effect from signals whose statistics vary over time. This method is blind, meaning it does not require prior knowledge about the signals or TF. Simulations demonstrate the algorithm high precision across various signal types, TFs, and Signal-to-Noise Ratios (SNRs). In this study, the CS2 signals family is restricted to the product of a deterministic periodic function and white noise. Furthermore, this method has the potential to improve the training of Machine Learning models where the aggregation of signals from identical systems but with different TFs is required.