



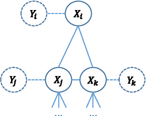
Abstract:A natural way to improve the detection of objects is to consider the contextual constraints imposed by the detection of additional objects in a given scene. In this work, we exploit the spatial relations between objects in order to improve detection capacity, as well as analyze various properties of the contextual object detection problem. To precisely calculate context-based probabilities of objects, we developed a model that examines the interactions between objects in an exact probabilistic setting, in contrast to previous methods that typically utilize approximations based on pairwise interactions. Such a scheme is facilitated by the realistic assumption that the existence of an object in any given location is influenced by only few informative locations in space. Based on this assumption, we suggest a method for identifying these relevant locations and integrating them into a mostly exact calculation of probability based on their raw detector responses. This scheme is shown to improve detection results and provides unique insights about the process of contextual inference for object detection. We show that it is generally difficult to learn that a particular object reduces the probability of another, and that in cases when the context and detector strongly disagree this learning becomes virtually impossible for the purposes of improving the results of an object detector. Finally, we demonstrate improved detection results through use of our approach as applied to the PASCAL VOC and COCO datasets.




Abstract:Reconstructing the missing parts of a curve has been the subject of much computational research, with applications in image inpainting, object synthesis, etc. Different approaches for solving that problem are typically based on processes that seek visually pleasing or perceptually plausible completions. In this work we focus on reconstructing the underlying physically likely shape by utilizing the global statistics of natural curves. More specifically, we develop a reconstruction model that seeks the mean physical curve for a given inducer configuration. This simple model is both straightforward to compute and it is receptive to diverse additional information, but it requires enough samples for all curve configurations, a practical requirement that limits its effective utilization. To address this practical issue we explore and exploit statistical geometrical properties of natural curves, and in particular, we show that in many cases the mean curve is scale invariant and oftentimes it is extensible. This, in turn, allows to boost the number of examples and thus the robustness of the statistics and its applicability. The reconstruction results are not only more physically plausible but they also lead to important insights on the reconstruction problem, including an elegant explanation why certain inducer configurations are more likely to yield consistent perceptual completions than others.




Abstract:The recurring context in which objects appear holds valuable information that can be employed to predict their existence. This intuitive observation indeed led many researchers to endow appearance-based detectors with explicit reasoning about context. The underlying thesis suggests that with stronger contextual relations, the better improvement in detection capacity one can expect from such a combined approach. In practice, however, the observed improvement in many case is modest at best, and often only marginal. In this work we seek to understand this phenomenon better, in part by pursuing an opposite approach. Instead of going from context to detection score, we formulate the score as a function of standard detector results and contextual relations, an approach that allows to treat the utility of context as an optimization problem in order to obtain the largest gain possible from considering context in the first place. Analyzing different contextual relations reveals the most helpful ones and shows that in many cases including context can help while in other cases a significant improvement is simply impossible or impractical. To better understand these results we then analyze the ability of context to handle different types of false detections, revealing that contextual information cannot ameliorate localization errors, which in turn also diminish the observed improvement obtained by correcting other types of errors. These insights provide further explanations and better understanding regarding the success or failure of utilizing context for object detection.