



Abstract:Click-stream data, which comes with a massive volume generated by the human activities on the websites, has become a prominent feature to identify readers' characteristics by the newsrooms after the digitization of the news outlets. It is essential to have elastic architectures to process the streaming data, particularly for unprecedented traffic, enabling conducting more comprehensive analyses such as recommending mostly related articles to the readers. Although the nature of click-stream data has a similar logic within the websites, it has inherent limitations to recognize human behaviors when looking from a broad perspective, which brings the need of limiting the problem in niche areas. This study investigates the anonymized readers' click activities in the organizations' websites to identify news consumption patterns following referrals from Twitter, who incidentally reach but propensity is mainly the routed news content. The investigation is widened to a broad perspective by linking the log data with news content to enrich the insights rather than sticking into the web journey. The methodologies on ensemble cluster analysis with mixed-type embedding strategies are applied and compared to find similar reader groups and interests independent from time. Our results demonstrate that the quality of clustering mixed-type data set approaches to optimal internal validation scores when embedded by Uniform Manifold Approximation and Projection (UMAP) and using consensus function as a key to access the most applicable hyper parameter configurations in the given ensemble rather than using consensus function results directly. Evaluation of the resulting clusters highlights specific clusters repeatedly present in the samples, which provide insights to the news organizations and overcome the degradation of the modeling behaviors due to the change in the interest over time.




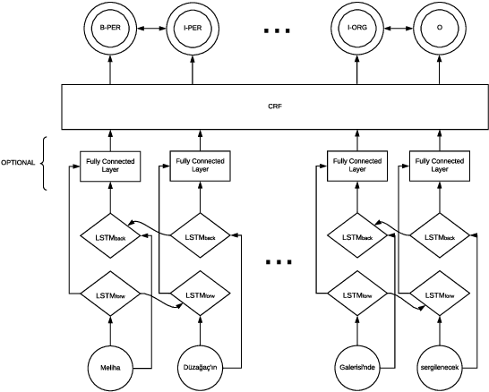
Abstract:Named entity recognition (NER) is an extensively studied task that extracts and classifies named entities in a text. NER is crucial not only in downstream language processing applications such as relation extraction and question answering but also in large scale big data operations such as real-time analysis of online digital media content. Recent research efforts on Turkish, a less studied language with morphologically rich nature, have demonstrated the effectiveness of neural architectures on well-formed texts and yielded state-of-the art results by formulating the task as a sequence tagging problem. In this work, we empirically investigate the use of recent neural architectures (Bidirectional long short-term memory and Transformer-based networks) proposed for Turkish NER tagging in the same setting. Our results demonstrate that transformer-based networks which can model long-range context overcome the limitations of BiLSTM networks where different input features at the character, subword, and word levels are utilized. We also propose a transformer-based network with a conditional random field (CRF) layer that leads to the state-of-the-art result (95.95\% f-measure) on a common dataset. Our study contributes to the literature that quantifies the impact of transfer learning on processing morphologically rich languages.