Abstract:We propose a methodology that combines generative latent diffusion models with physics-informed machine learning to generate solutions of parametric partial differential equations (PDEs) conditioned on partial observations, which includes, in particular, forward and inverse PDE problems. We learn the joint distribution of PDE parameters and solutions via a diffusion process in a latent space of scaled spectral representations, where Gaussian noise corresponds to functions with controlled regularity. This spectral formulation enables significant dimensionality reduction compared to grid-based diffusion models and ensures that the induced process in function space remains within a class of functions for which the PDE operators are well defined. Building on diffusion posterior sampling, we enforce physics-informed constraints and measurement conditions during inference, applying Adam-based updates at each diffusion step. We evaluate the proposed approach on Poisson, Helmholtz, and incompressible Navier--Stokes equations, demonstrating improved accuracy and computational efficiency compared with existing diffusion-based PDE solvers, which are state of the art for sparse observations. Code is available at https://github.com/deeplearningmethods/PISD.




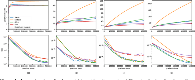
Abstract:We study gradient flows for loss landscapes of fully connected feed forward neural networks with commonly used continuously differentiable activation functions such as the logistic, hyperbolic tangent, softplus or GELU function. We prove that the gradient flow either converges to a critical point or diverges to infinity while the loss converges to an asymptotic critical value. Moreover, we prove the existence of a threshold $\varepsilon>0$ such that the loss value of any gradient flow initialized at most $\varepsilon$ above the optimal level converges to it. For polynomial target functions and sufficiently big architecture and data set, we prove that the optimal loss value is zero and can only be realized asymptotically. From this setting, we deduce our main result that any gradient flow with sufficiently good initialization diverges to infinity. Our proof heavily relies on the geometry of o-minimal structures. We confirm these theoretical findings with numerical experiments and extend our investigation to real-world scenarios, where we observe an analogous behavior.




Abstract:This article provides a mathematically rigorous introduction to denoising diffusion probabilistic models (DDPMs), sometimes also referred to as diffusion probabilistic models or diffusion models, for generative artificial intelligence. We provide a detailed basic mathematical framework for DDPMs and explain the main ideas behind training and generation procedures. In this overview article we also review selected extensions and improvements of the basic framework from the literature such as improved DDPMs, denoising diffusion implicit models, classifier-free diffusion guidance models, and latent diffusion models.