



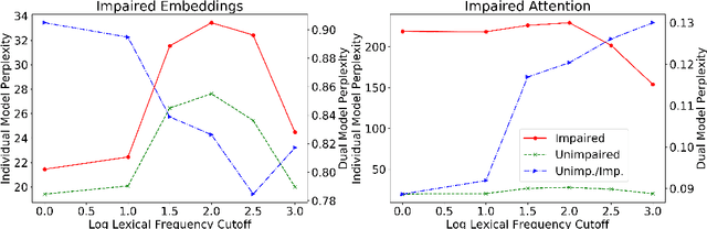
Abstract:Deep learning (DL) techniques involving fine-tuning large numbers of model parameters have delivered impressive performance on the task of discriminating between language produced by cognitively healthy individuals, and those with Alzheimer's disease (AD). However, questions remain about their ability to generalize beyond the small reference sets that are publicly available for research. As an alternative to fitting model parameters directly, we propose a novel method by which a Transformer DL model (GPT-2) pre-trained on general English text is paired with an artificially degraded version of itself (GPT-D), to compute the ratio between these two models' \textit{perplexities} on language from cognitively healthy and impaired individuals. This technique approaches state-of-the-art performance on text data from a widely used "Cookie Theft" picture description task, and unlike established alternatives also generalizes well to spontaneous conversations. Furthermore, GPT-D generates text with characteristics known to be associated with AD, demonstrating the induction of dementia-related linguistic anomalies. Our study is a step toward better understanding of the relationships between the inner workings of generative neural language models, the language that they produce, and the deleterious effects of dementia on human speech and language characteristics.