



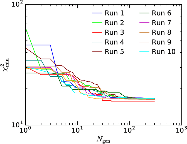
Abstract:Genetic Algorithms (GAs) are explored as a tool for probing new physics with high dimensionality. We study the 19-dimensional pMSSM, including experimental constraints from all sources and assessing the consistency of potential signals of new physics. We show that GAs excel at making a fast and accurate diagnosis of the cross-compatibility of a set of experimental constraints in such high dimensional models. In the case of the pMSSM, it is found that only ${\cal O}(10^4)$ model evaluations are required to obtain a best fit point in agreement with much more costly MCMC scans. This efficiency allows higher dimensional models to be falsified, and patterns in the spectrum identified, orders of magnitude more quickly. As examples of falsification, we consider the muon anomalous magnetic moment, and the Galactic Centre gamma-ray excess observed by Fermi-LAT, which could in principle be explained in terms of neutralino dark matter. We show that both observables cannot be explained within the pMSSM, and that they provide the leading contribution to the total goodness of the fit, with $\chi^2_{\delta a_\mu^{\mathrm{SUSY}}}\approx12$ and $\chi^2_{\rm GCE}\approx 155$, respectively.