



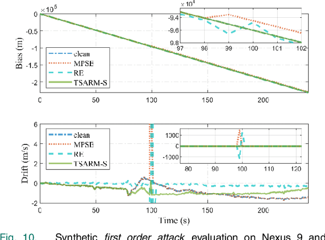
Abstract:This paper presents a novel time synchronization attack (TSA) model for the Global Positioning System (GPS) based on clock data behavior changes in a higher-order derivative domain. Further, the time synchronization attack rejection and mitigation based on sparse domain (TSARM-S) is presented. TSAs affect stationary GPS receivers in applications where precise timing is required, such as cellular communications, financial transactions, and monitoring of the electric power grid. In the present work, the clock bias and clock drift are monitored at higher-order clock data derivatives where the TSA is seen as a sparse spike-like event. The smoothness of the attack relates to the derivative order where the sparsity is observed. The proposed method jointly estimates a dynamic solution for GPS timing and rejects behavior changes based on such sparse events. An evaluation procedure is presented for two testbeds, namely a commercial receiver and a software-defined radio. Further, the proposed method is evaluated against distinct real-dataset Texas Spoofing Test Battery (TEXBAT) scenarios. Combined synthetic and real-data results show an average RMS clock bias error of 12.08 m for the SDR platform, and 45.74 m for the commercial device. Further, the technique is evaluated against state-of-the-art mitigation techniques and in a spoofing-plus-multipath scenario for robustness. Finally, TSARM-S can be potentially optimized and implemented in commercial devices via a firmware upgrade.




Abstract:Wireless Local Area Network (WLAN) has become a promising choice for indoor positioning as the only existing and established infrastructure, to localize the mobile and stationary users indoors. However, since WLAN has been initially designed for wireless networking and not positioning, the localization task based on WLAN signals has several challenges. Amongst the WLAN positioning methods, WLAN fingerprinting localization has recently achieved great attention due to its promising results. WLAN fingerprinting faces several challenges and hence, in this paper, our goal is to overview these challenges and the state-of-the-art solutions. This paper consists of three main parts: 1) Conventional localization schemes; 2) State-of-the-art approaches; 3) Practical deployment challenges. Since all the proposed methods in WLAN literature have been conducted and tested in different settings, the reported results are not equally comparable. So, we compare some of the main localization schemes in a single real environment and assess their localization accuracy, positioning error statistics, and complexity. Our results depict illustrative evaluation of WLAN localization systems and guide to future improvement opportunities.




Abstract:This paper introduces novel schemes for indoor localization, outlier detection, and radio map interpolation using Wireless Local Area Networks (WLANs). The localization method consists of a novel multicomponent optimization technique that minimizes the squared $\ell_{2}$-norm of the residuals between the radio map and the online Received Signal Strength (RSS) measurements, the $\ell_{1}$-norm of the user's location vector, and weighted $\ell_{2}$-norms of layered groups of Reference Points (RPs). RPs are grouped using a new criterion based on the similarity between the so-called Access Point (AP) coverage vectors. In addition, since AP readings are prone to containing inordinate readings, called outliers, an augmented optimization problem is proposed to detect the outliers and localize the user with cleaned online measurements. Moreover, a novel scheme to record fingerprints from a smaller number of RPs and estimate the radio map at RPs without recorded fingerprints is developed using sparse recovery techniques. All localization schemes are tested on RSS fingerprints collected from a real environment. The overall scheme has comparable complexity with competing approaches, while it performs with high accuracy under a small number of APs and finer granularity of RPs.




Abstract:In this paper, we introduce two indoor Wireless Local Area Network (WLAN) positioning methods using augmented sparse recovery algorithms. These schemes render a sparse user's position vector, and in parallel, minimize the distance between the online measurement and radio map. The overall localization scheme for both methods consists of three steps: 1) coarse localization, obtained from comparing the online measurements with clustered radio map. A novel graph-based method is proposed to cluster the offline fingerprints. In the online phase, a Region Of Interest (ROI) is selected within which we search for the user's location; 2) Access Point (AP) selection; and 3) fine localization through the novel sparse recovery algorithms. Since the online measurements are subject to inordinate measurement readings, called outliers, the sparse recovery methods are modified in order to jointly estimate the outliers and user's position vector. The outlier detection procedure identifies the APs whose readings are either not available or erroneous. The proposed localization methods have been tested with Received Signal Strength (RSS) measurements in a typical office environment and the results show that they can localize the user with significantly high accuracy and resolution which is superior to the results from competing WLAN fingerprinting localization methods.