



Abstract:Recurrent neural networks (RNN) are simple dynamical systems whose computational power has been attributed to their short-term memory. Short-term memory of RNNs has been previously studied analytically only for the case of orthogonal networks, and only under annealed approximation, and uncorrelated input. Here for the first time, we present an exact solution to the memory capacity and the task-solving performance as a function of the structure of a given network instance, enabling direct determination of the function--structure relation in RNNs. We calculate the memory capacity for arbitrary networks with exponentially correlated input and further related it to the performance of the system on signal processing tasks in a supervised learning setup. We compute the expected error and the worst-case error bound as a function of the spectra of the network and the correlation structure of its inputs and outputs. Our results give an explanation for learning and generalization of task solving using short-term memory, which is crucial for building alternative computer architectures using physical phenomena based on the short-term memory principle.




Abstract:Supralinear and sublinear pre-synaptic and dendritic integration is considered to be responsible for nonlinear computation power of biological neurons, emphasizing the role of nonlinear integration as opposed to nonlinear output thresholding. How, why, and to what degree the transfer function nonlinearity helps biologically inspired neural network models is not fully understood. Here, we study these questions in the context of echo state networks (ESN). ESN is a simple neural network architecture in which a fixed recurrent network is driven with an input signal, and the output is generated by a readout layer from the measurements of the network states. ESN architecture enjoys efficient training and good performance on certain signal-processing tasks, such as system identification and time series prediction. ESN performance has been analyzed with respect to the connectivity pattern in the network structure and the input bias. However, the effects of the transfer function in the network have not been studied systematically. Here, we use an approach tanh on the Taylor expansion of a frequently used transfer function, the hyperbolic tangent function, to systematically study the effect of increasing nonlinearity of the transfer function on the memory, nonlinear capacity, and signal processing performance of ESN. Interestingly, we find that a quadratic approximation is enough to capture the computational power of ESN with tanh function. The results of this study apply to both software and hardware implementation of ESN.




Abstract:Advances in materials science have led to physical instantiations of self-assembled networks of memristive devices and demonstrations of their computational capability through reservoir computing. Reservoir computing is an approach that takes advantage of collective system dynamics for real-time computing. A dynamical system, called a reservoir, is excited with a time-varying signal and observations of its states are used to reconstruct a desired output signal. However, such a monolithic assembly limits the computational power due to signal interdependency and the resulting correlated readouts. Here, we introduce an approach that hierarchically composes a set of interconnected memristive networks into a larger reservoir. We use signal amplification and restoration to reduce reservoir state correlation, which improves the feature extraction from the input signals. Using the same number of output signals, such a hierarchical composition of heterogeneous small networks outperforms monolithic memristive networks by at least 20% on waveform generation tasks. On the NARMA-10 task, we reduce the error by up to a factor of 2 compared to homogeneous reservoirs with sigmoidal neurons, whereas single memristive networks are unable to produce the correct result. Hierarchical composition is key for solving more complex tasks with such novel nano-scale hardware.




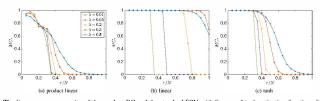
Abstract:Echo state networks (ESN), a type of reservoir computing (RC) architecture, are efficient and accurate artificial neural systems for time series processing and learning. An ESN consists of a core of recurrent neural networks, called a reservoir, with a small number of tunable parameters to generate a high-dimensional representation of an input, and a readout layer which is easily trained using regression to produce a desired output from the reservoir states. Certain computational tasks involve real-time calculation of high-order time correlations, which requires nonlinear transformation either in the reservoir or the readout layer. Traditional ESN employs a reservoir with sigmoid or tanh function neurons. In contrast, some types of biological neurons obey response curves that can be described as a product unit rather than a sum and threshold. Inspired by this class of neurons, we introduce a RC architecture with a reservoir of product nodes for time series computation. We find that the product RC shows many properties of standard ESN such as short-term memory and nonlinear capacity. On standard benchmarks for chaotic prediction tasks, the product RC maintains the performance of a standard nonlinear ESN while being more amenable to mathematical analysis. Our study provides evidence that such networks are powerful in highly nonlinear tasks owing to high-order statistics generated by the recurrent product node reservoir.




Abstract:Reservoir computing is a recent trend in neural networks which uses the dynamical perturbations on the phase space of a system to compute a desired target function. We present how one can formulate an expectation of system performance in a simple class of reservoir computing called echo state networks. In contrast with previous theoretical frameworks, which only reveal an upper bound on the total memory in the system, we analytically calculate the entire memory curve as a function of the structure of the system and the properties of the input and the target function. We demonstrate the precision of our framework by validating its result for a wide range of system sizes and spectral radii. Our analytical calculation agrees with numerical simulations. To the best of our knowledge this work presents the first exact analytical characterization of the memory curve in echo state networks.




Abstract:Reservoir computing (RC) is a novel approach to time series prediction using recurrent neural networks. In RC, an input signal perturbs the intrinsic dynamics of a medium called a reservoir. A readout layer is then trained to reconstruct a target output from the reservoir's state. The multitude of RC architectures and evaluation metrics poses a challenge to both practitioners and theorists who study the task-solving performance and computational power of RC. In addition, in contrast to traditional computation models, the reservoir is a dynamical system in which computation and memory are inseparable, and therefore hard to analyze. Here, we compare echo state networks (ESN), a popular RC architecture, with tapped-delay lines (DL) and nonlinear autoregressive exogenous (NARX) networks, which we use to model systems with limited computation and limited memory respectively. We compare the performance of the three systems while computing three common benchmark time series: H{\'e}non Map, NARMA10, and NARMA20. We find that the role of the reservoir in the reservoir computing paradigm goes beyond providing a memory of the past inputs. The DL and the NARX network have higher memorization capability, but fall short of the generalization power of the ESN.




Abstract:We propose a novel molecular computing approach based on reservoir computing. In reservoir computing, a dynamical core, called a reservoir, is perturbed with an external input signal while a readout layer maps the reservoir dynamics to a target output. Computation takes place as a transformation from the input space to a high-dimensional spatiotemporal feature space created by the transient dynamics of the reservoir. The readout layer then combines these features to produce the target output. We show that coupled deoxyribozyme oscillators can act as the reservoir. We show that despite using only three coupled oscillators, a molecular reservoir computer could achieve 90% accuracy on a benchmark temporal problem.