



Abstract:The Mass Spectrometer and Incoherent Scatter radar (MSIS) model family has been developed and improved since the early 1970's. The most recent version of MSIS is the Naval Research Laboratory (NRL) MSIS 2.0 empirical atmospheric model. NRLMSIS 2.0 provides species density, mass density, and temperature estimates as function of location and space weather conditions. MSIS models have long been a popular choice of atmosphere model in the research and operations community alike, but - like many models - does not provide uncertainty estimates. In this work, we develop an exospheric temperature model based in machine learning (ML) that can be used with NRLMSIS 2.0 to calibrate it relative to high-fidelity satellite density estimates. Instead of providing point estimates, our model (called MSIS-UQ) outputs a distribution which is assessed using a metric called the calibration error score. We show that MSIS-UQ debiases NRLMSIS 2.0 resulting in reduced differences between model and satellite density of 25% and is 11% closer to satellite density than the Space Force's High Accuracy Satellite Drag Model. We also show the model's uncertainty estimation capabilities by generating altitude profiles for species density, mass density, and temperature. This explicitly demonstrates how exospheric temperature probabilities affect density and temperature profiles within NRLMSIS 2.0. Another study displays improved post-storm overcooling capabilities relative to NRLMSIS 2.0 alone, enhancing the phenomena that it can capture.




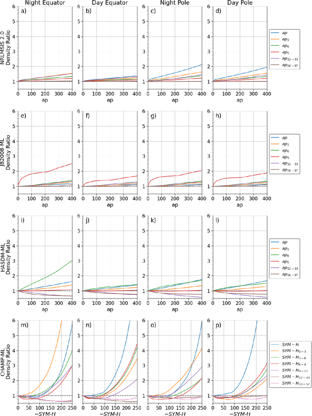
Abstract:Machine learning (ML) is often viewed as a black-box regression technique that is unable to provide considerable scientific insight. ML models are universal function approximators and - if used correctly - can provide scientific information related to the ground-truth dataset used for fitting. A benefit to ML over parametric models is that there are no predefined basis functions limiting the phenomena that can be modeled. In this work, we develop ML models on three datasets: the Space Environment Technologies (SET) High Accuracy Satellite Drag Model (HASDM) density database, a spatiotemporally matched dataset of outputs from the Jacchia-Bowman 2008 Empirical Thermospheric Density Model (JB2008), and an accelerometer-derived density dataset from CHAllenging Minisatellite Payload (CHAMP). These ML models are compared to the Naval Research Laboratory Mass Spectrometer and Incoherent Scatter radar (NRLMSIS 2.0) model to study the presence of post-storm cooling in the middle-thermosphere. We find that both NRLMSIS 2.0 and JB2008-ML do not account for post-storm cooling and consequently perform poorly in periods following strong geomagnetic storms (e.g. the 2003 Halloween storms). Conversely, HASDM-ML and CHAMP-ML do show evidence of post-storm cooling indicating that this phenomenon is present in the original datasets. Results show that density reductions up to 40% can occur 1--3 days post-storm depending on location and the strength of the storm.