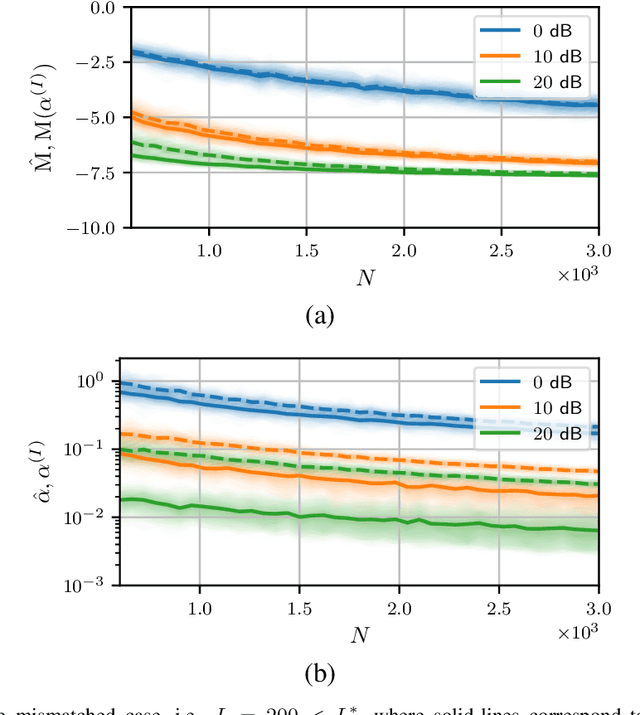
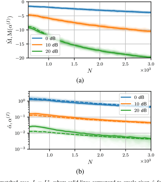
Abstract:In this work, we propose a method to efficiently find the regularization parameter for low-rank MMSE filters based on a Kronecker-product representation. We show that the regularization parameter is surprisingly linked to the problem of rank selection and, thus, properly choosing it, is crucial for low-rank settings. The proposed method is validated through simulations, showing significant gains over commonly used methods.
Abstract:This work uses a statistical framework to present and evaluate the ranking algorithm that has been used by F\'ed\'eration Internationale de Volleyball (FIVB) since 2020. The salient feature of the FIVB ranking is the use of the probabilistic model, which explicitly calculates the probabilities of the games to come. This explicit modeling is new in the context of official ranking, and we study the optimality of its parameters as well as its relationship with the ranking algorithm as such. The analysis is carried out using both analytical and numerical methods. We conclude that, from the modeling perspective, the use of the home-field advantage (HFA) would be beneficial and that the weighting of the game results is counterproductive. Regarding the algorithm itself, we explain the rationale beyond the approximations currently used and explain how to find new parameters which improve the performance. Finally, we propose a new model that drastically simplifies both the implementation and interpretation of the resulting algorithm.




Abstract:In this work, we consider the problem of regularization in minimum mean-squared error (MMSE) linear filters. Exploiting the relationship with statistical machine learning methods, the regularization parameter is found from the observed signals in a simple and automatic manner. The proposed approach is illustrated through system identification examples, where the automatic regularization yields near-optimal results.
Abstract:The Elo algorithm, due to its simplicity, is widely used for rating in sports competitions as well as in other applications where the rating/ranking is a useful tool for predicting future results. However, despite its widespread use, a detailed understanding of the convergence properties of the Elo algorithm is still lacking. Aiming to fill this gap, this paper presents a comprehensive (stochastic) analysis of the Elo algorithm, considering round-robin (one-on-one) competitions. Specifically, analytical expressions are derived characterizing the behavior/evolution of the skills and of important performance metrics. Then, taking into account the relationship between the behavior of the algorithm and the step-size value, which is a hyperparameter that can be controlled, some design guidelines as well as discussions about the performance of the algorithm are provided. To illustrate the applicability of the theoretical findings, experimental results are shown, corroborating the very good match between analytical predictions and those obtained from the algorithm using real-world data (from the Italian SuperLega, Volleyball League).