



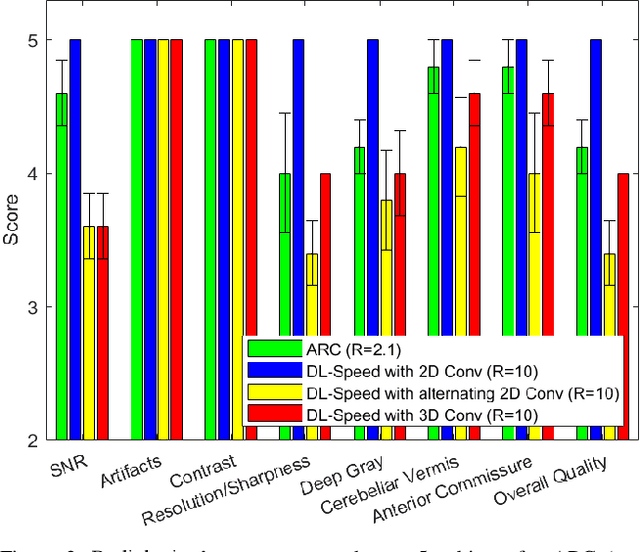
Abstract:Purpose: To accelerate brain 3D MRI scans by using a deep learning method for reconstructing images from highly-undersampled multi-coil k-space data Methods: DL-Speed, an unrolled optimization architecture with dense skip-layer connections, was trained on 3D T1-weighted brain scan data to reconstruct complex-valued images from highly-undersampled k-space data. The trained model was evaluated on 3D MPRAGE brain scan data retrospectively-undersampled with a 10-fold acceleration, compared to a conventional parallel imaging method with a 2-fold acceleration. Scores of SNR, artifacts, gray/white matter contrast, resolution/sharpness, deep gray-matter, cerebellar vermis, anterior commissure, and overall quality, on a 5-point Likert scale, were assessed by experienced radiologists. In addition, the trained model was tested on retrospectively-undersampled 3D T1-weighted LAVA (Liver Acquisition with Volume Acceleration) abdominal scan data, and prospectively-undersampled 3D MPRAGE and LAVA scans in three healthy volunteers and one, respectively. Results: The qualitative scores for DL-Speed with a 10-fold acceleration were higher than or equal to those for the parallel imaging with 2-fold acceleration. DL-Speed outperformed a compressed sensing method in quantitative metrics on retrospectively-undersampled LAVA data. DL-Speed was demonstrated to perform reasonably well on prospectively-undersampled scan data, realizing a 2-5 times reduction in scan time. Conclusion: DL-Speed was shown to accelerate 3D MPRAGE and LAVA with up to a net 10-fold acceleration, achieving 2-5 times faster scans compared to conventional parallel imaging and acceleration, while maintaining diagnostic image quality and real-time reconstruction. The brain scan data-trained DL-Speed also performed well when reconstructing abdominal LAVA scan data, demonstrating versatility of the network.