



Abstract:Information about user preferences plays a key role in automated decision making. In many domains it is desirable to assess such preferences in a qualitative rather than quantitative way. In this paper, we propose a qualitative graphical representation of preferences that reflects conditional dependence and independence of preference statements under a ceteris paribus (all else being equal) interpretation. Such a representation is often compact and arguably quite natural in many circumstances. We provide a formal semantics for this model, and describe how the structure of the network can be exploited in several inference tasks, such as determining whether one outcome dominates (is preferred to) another, ordering a set outcomes according to the preference relation, and constructing the best outcome subject to available evidence.




Abstract:Bayesian belief networks have grown to prominence because they provide compact representations for many problems for which probabilistic inference is appropriate, and there are algorithms to exploit this compactness. The next step is to allow compact representations of the conditional probabilities of a variable given its parents. In this paper we present such a representation that exploits contextual independence in terms of parent contexts; which variables act as parents may depend on the value of other variables. The internal representation is in terms of contextual factors (confactors) that is simply a pair of a context and a table. The algorithm, contextual variable elimination, is based on the standard variable elimination algorithm that eliminates the non-query variables in turn, but when eliminating a variable, the tables that need to be multiplied can depend on the context. This algorithm reduces to standard variable elimination when there is no contextual independence structure to exploit. We show how this can be much more efficient than variable elimination when there is structure to exploit. We explain why this new method can exploit more structure than previous methods for structured belief network inference and an analogous algorithm that uses trees.




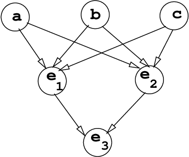
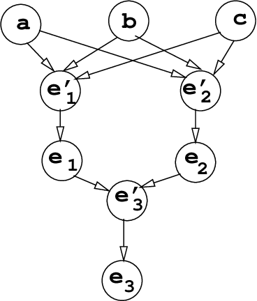
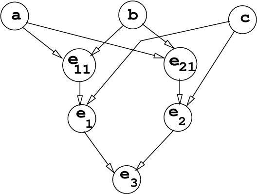
Abstract:A new method is proposed for exploiting causal independencies in exact Bayesian network inference. A Bayesian network can be viewed as representing a factorization of a joint probability into the multiplication of a set of conditional probabilities. We present a notion of causal independence that enables one to further factorize the conditional probabilities into a combination of even smaller factors and consequently obtain a finer-grain factorization of the joint probability. The new formulation of causal independence lets us specify the conditional probability of a variable given its parents in terms of an associative and commutative operator, such as ``or'', ``sum'' or ``max'', on the contribution of each parent. We start with a simple algorithm VE for Bayesian network inference that, given evidence and a query variable, uses the factorization to find the posterior distribution of the query. We show how this algorithm can be extended to exploit causal independence. Empirical studies, based on the CPCS networks for medical diagnosis, show that this method is more efficient than previous methods and allows for inference in larger networks than previous algorithms.