



Abstract:Lexical semantics theories differ in advocating that the meaning of words is represented as an inference graph, a feature mapping or a vector space, thus raising the question: is it the case that one of these approaches is superior to the others in representing lexical semantics appropriately? Or in its non antagonistic counterpart: could there be a unified account of lexical semantics where these approaches seamlessly emerge as (partial) renderings of (different) aspects of a core semantic knowledge base? In this paper, we contribute to these research questions with a number of experiments that systematically probe different lexical semantics theories for their levels of cognitive plausibility and of technological usefulness. The empirical findings obtained from these experiments advance our insight on lexical semantics as the feature-based approach emerges as superior to the other ones, and arguably also move us closer to finding answers to the research questions above.




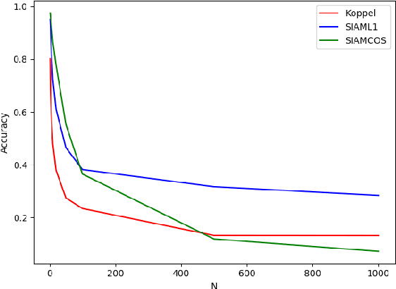
Abstract:Authorship attribution is the process of identifying the author of a text. Classification-based approaches work well for small numbers of candidate authors, but only similarity-based methods are applicable for larger numbers of authors or for authors beyond the training set. While deep learning methods have been applied to classification-based approaches, applications to similarity-based applications have been limited, and most similarity-based methods only embody static notions of similarity. Siamese networks have been used to develop learned notions of similarity in one-shot image tasks, and also for tasks of mostly semantic relatedness in NLP. We examine their application to the stylistic task of authorship attribution on datasets with large numbers of authors, looking at multiple energy functions and neural network architectures, and show that they can substantially outperform both classification- and existing similarity-based approaches. We also find an unexpected relationship between choice of energy function and number of authors, in terms of performance.