Abstract:Large language models have achieved great success in multiple challenging tasks, and their capacity can be further boosted by the emerging agentic AI techniques. This new computing paradigm has already started revolutionising the traditional scientific discovery pipelines. In this work, we propose a novel agentic AI-based knowledge discovery-oriented virtual study group that aims to extract meaningful ageing-related biological knowledge considering highly ageing-related Gene Ontology terms that are selected by hierarchical feature selection methods. We investigate the performance of the proposed agentic AI framework by considering four different model organisms' ageing-related Gene Ontology terms and validate the biological findings by reviewing existing research articles. It is found that the majority of the AI agent-generated scientific claims can be supported by existing literatures and the proposed internal mechanisms of the virtual study group also play an important role in the designed agentic AI-based knowledge discovery framework.




Abstract:The Hierarchical Redundancy Eliminated Tree Augmented Naive Bayes (HRE-TAN) classifier is a semi-naive Bayesian model that learns a type of hierarchical redundancy-free tree-like feature representation to estimate the data distribution. In this work, we propose two new types of positive feature values prioritized hierarchical redundancy eliminated tree augmented naive Bayes classifiers that focus on features bearing positive instance values. The two newly proposed methods are applied to 28 real-world bioinformatics datasets showing better predictive performance than the conventional HRE-TAN classifier.




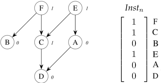
Abstract:The Tree Augmented Naive Bayes (TAN) classifier is a type of probabilistic graphical model that constructs a single-parent dependency tree to estimate the distribution of the data. In this work, we propose two novel Hierarchical dependency-based Tree Augmented Naive Bayes algorithms, i.e. Hie-TAN and Hie-TAN-Lite. Both methods exploit the pre-defined parent-child (generalisation-specialisation) relationships between features as a type of constraint to learn the tree representation of dependencies among features, whilst the latter further eliminates the hierarchical redundancy during the classifier learning stage. The experimental results showed that Hie-TAN successfully obtained better predictive performance than several other hierarchical dependency constrained classification algorithms, and its predictive performance was further improved by eliminating the hierarchical redundancy, as suggested by the higher accuracy obtained by Hie-TAN-Lite.



Abstract:The Tree Augmented Naive Bayes classifier is a type of probabilistic graphical model that can represent some feature dependencies. In this work, we propose a Hierarchical Redundancy Eliminated Tree Augmented Naive Bayes (HRE-TAN) algorithm, which considers removing the hierarchical redundancy during the classifier learning process, when coping with data containing hierarchically structured features. The experiments showed that HRE-TAN obtains significantly better predictive performance than the conventional Tree Augmented Naive Bayes classifier, and enhanced the robustness against imbalanced class distributions, in aging-related gene datasets with Gene Ontology terms used as features.




Abstract:The dose regimen of Warfarin is separated into two phases. Firstly a loading dose is given, which is designed to bring the International Normalisation Ratio (INR) to within therapeutic range. Then a stable maintenance dose is given to maintain the INR within therapeutic range. In the United Kingdom (UK) the loading dose is usually given as three individual daily doses, the standard loading dose being 10mg on days one and two and 5mgs on day three, which can be varied at the discretion of the clinician. However, due to the large inter-individual variation in the response to Warfarin therapy, it is difficult to identify which patients will reach the narrow therapeutic window for target INR, and which will be above or below the therapeutic window. The aim of this research was to develop a methodology using a neural networks classification algorithm and data mining techniques to predict for a given loading dose and patient characteristics if the patient is more likely to achieve target INR or more likely to be above or below therapeutic range. Multilayer perceptron (MLP) and 10-fold stratified cross validation algorithms were used to determine an artificial neural network to classify patients' response to their initial Warfarin loading dose. The resulting neural network model correctly classifies an individual's response to their Warfarin loading dose over 80% of the time. As well as taking into account the initial loading dose, the final model also includes demographic, genetic and a number of other potential confounding factors. With this model clinicians can predetermine whether a given loading regimen, along with specific patient characteristics will achieve a therapeutic response for a particular patient. Thus tailoring the loading dose regimen to meet the individual needs of the patient and reducing the risk of adverse drug reactions associated with Warfarin.