Abstract:Since thermal imagery offers a unique modality to investigate pain, the U.S. National Institutes of Health (NIH) has collected a large and diverse set of cancer patient facial thermograms for AI-based pain research. However, differing angles from camera capture between thermal and visible sensors has led to misalignment between Visible-Thermal (VT) images. We modernize the classic computer vision task of image registration by applying and modifying a generative alignment algorithm to register VT cancer faces, without the need for a reference or alignment parameters. By registering VT faces, we demonstrate that the quality of thermal images produced in the generative AI downstream task of Visible-to-Thermal (V2T) image translation significantly improves up to 52.5\%, than without registration. Images in this paper have been approved by the NIH NCI for public dissemination.
Abstract:For a variety of biometric cross-spectral tasks, Visible-Thermal (VT) facial pairs are used. However, due to a lack of calibration in the lab, photographic capture between two different sensors leads to severely misaligned pairs that can lead to poor results for person re-identification and generative AI. To solve this problem, we introduce our approach for VT image registration called Vista Morph. Unlike existing VT facial registration that requires manual, hand-crafted features for pixel matching and/or a supervised thermal reference, Vista Morph is completely unsupervised without the need for a reference. By learning the affine matrix through a Vision Transformer (ViT)-based Spatial Transformer Network (STN) and Generative Adversarial Networks (GAN), Vista Morph successfully aligns facial and non-facial VT images. Our approach learns warps in Hard, No, and Low-light visual settings and is robust to geometric perturbations and erasure at test time. We conduct a downstream generative AI task to show that registering training data with Vista Morph improves subject identity of generated thermal faces when performing V2T image translation.




Abstract:Thermal facial imagery offers valuable insight into physiological states such as inflammation and stress by detecting emitted radiation in the infrared spectrum, which is unseen in the visible spectra. Telemedicine applications could benefit from thermal imagery, but conventional computers are reliant on RGB cameras and lack thermal sensors. As a result, we propose the Visible-to-Thermal Facial GAN (VTF-GAN) that is specifically designed to generate high-resolution thermal faces by learning both the spatial and frequency domains of facial regions, across spectra. We compare VTF-GAN against several popular GAN baselines and the first conditional Denoising Diffusion Probabilistic Model (DDPM) for VT face translation (VTF-Diff). Results show that VTF-GAN achieves high quality, crisp, and perceptually realistic thermal faces using a combined set of patch, temperature, perceptual, and Fourier Transform losses, compared to all baselines including diffusion.




Abstract:Cancer patients experience high rates of chronic pain throughout the treatment process. Assessing pain for this patient population is a vital component of psychological and functional well-being, as it can cause a rapid deterioration of quality of life. Existing work in facial pain detection often have deficiencies in labeling or methodology that prevent them from being clinically relevant. This paper introduces the first chronic cancer pain dataset, collected as part of the Intelligent Sight and Sound (ISS) clinical trial, guided by clinicians to help ensure that model findings yield clinically relevant results. The data collected to date consists of 29 patients, 509 smartphone videos, 189,999 frames, and self-reported affective and activity pain scores adopted from the Brief Pain Inventory (BPI). Using static images and multi-modal data to predict self-reported pain levels, early models show significant gaps between current methods available to predict pain today, with room for improvement. Due to the especially sensitive nature of the inherent Personally Identifiable Information (PII) of facial images, the dataset will be released under the guidance and control of the National Institutes of Health (NIH).



Abstract:Thermal images reveal medically important physiological information about human stress, signs of inflammation, and emotional mood that cannot be seen on visible images. Providing a method to generate thermal faces from visible images would be highly valuable for the telemedicine community in order to show this medical information. To the best of our knowledge, there are limited works on visible-to-thermal (VT) face translation, and many current works go the opposite direction to generate visible faces from thermal surveillance images (TV) for law enforcement applications. As a result, we introduce favtGAN, a VT GAN which uses the pix2pix image translation model with an auxiliary sensor label prediction network for generating thermal faces from visible images. Since most TV methods are trained on only one data source drawn from one thermal sensor, we combine datasets from faces and cityscapes. These combined data are captured from similar sensors in order to bootstrap the training and transfer learning task, especially valuable because visible-thermal face datasets are limited. Experiments on these combined datasets show that favtGAN demonstrates an increase in SSIM and PSNR scores of generated thermal faces, compared to training on a single face dataset alone.




Abstract:With the increased attention on thermal imagery for Covid-19 screening, the public sector may believe there are new opportunities to exploit thermal as a modality for computer vision and AI. Thermal physiology research has been ongoing since the late nineties. This research lies at the intersections of medicine, psychology, machine learning, optics, and affective computing. We will review the known factors of thermal vs. RGB imaging for facial emotion recognition. But we also propose that thermal imagery may provide a semi-anonymous modality for computer vision, over RGB, which has been plagued by misuse in facial recognition. However, the transition to adopting thermal imagery as a source for any human-centered AI task is not easy and relies on the availability of high fidelity data sources across multiple demographics and thorough validation. This paper takes the reader on a short review of machine learning in thermal FER and the limitations of collecting and developing thermal FER data for AI training. Our motivation is to provide an introductory overview into recent advances for thermal FER and stimulate conversation about the limitations in current datasets.




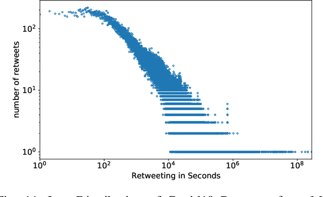
Abstract:This paper illustrates five different techniques to assess the distinctiveness of topics, key terms and features, speed of information dissemination, and network behaviors for Covid19 tweets. First, we use pattern matching and second, topic modeling through Latent Dirichlet Allocation (LDA) to generate twenty different topics that discuss case spread, healthcare workers, and personal protective equipment (PPE). One topic specific to U.S. cases would start to uptick immediately after live White House Coronavirus Task Force briefings, implying that many Twitter users are paying attention to government announcements. We contribute machine learning methods not previously reported in the Covid19 Twitter literature. This includes our third method, Uniform Manifold Approximation and Projection (UMAP), that identifies unique clustering-behavior of distinct topics to improve our understanding of important themes in the corpus and help assess the quality of generated topics. Fourth, we calculated retweeting times to understand how fast information about Covid19 propagates on Twitter. Our analysis indicates that the median retweeting time of Covid19 for a sample corpus in March 2020 was 2.87 hours, approximately 50 minutes faster than repostings from Chinese social media about H7N9 in March 2013. Lastly, we sought to understand retweet cascades, by visualizing the connections of users over time from fast to slow retweeting. As the time to retweet increases, the density of connections also increase where in our sample, we found distinct users dominating the attention of Covid19 retweeters. One of the simplest highlights of this analysis is that early-stage descriptive methods like regular expressions can successfully identify high-level themes which were consistently verified as important through every subsequent analysis.