



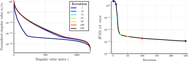
Abstract:Natural Gradient Descent (NGD) has emerged as a promising optimization algorithm for training neural network-based solvers for partial differential equations (PDEs), such as Physics-Informed Neural Networks (PINNs). However, its practical use is often limited by the high computational cost of solving linear systems involving the Gramian matrix. While matrix-free NGD methods based on the conjugate gradient (CG) method avoid explicit matrix inversion, the ill-conditioning of the Gramian significantly slows the convergence of CG. In this work, we extend matrix-free NGD to broader classes of problems than previously considered and propose the use of Randomized Nystr\"om preconditioning to accelerate convergence of the inner CG solver. The resulting algorithm demonstrates substantial performance improvements over existing NGD-based methods on a range of PDE problems discretized using neural networks.


Abstract:We construct deep operator networks (ONets) between infinite-dimensional spaces that emulate with an exponential rate of convergence the coefficient-to-solution map of elliptic second-order PDEs. In particular, we consider problems set in $d$-dimensional periodic domains, $d=1, 2, \dots$, and with analytic right-hand sides and coefficients. Our analysis covers diffusion-reaction problems, parametric diffusion equations, and elliptic systems such as linear isotropic elastostatics in heterogeneous materials. We leverage the exponential convergence of spectral collocation methods for boundary value problems whose solutions are analytic. In the present periodic and analytic setting, this follows from classical elliptic regularity. Within the ONet branch and trunk construction of [Chen and Chen, 1993] and of [Lu et al., 2021], we show the existence of deep ONets which emulate the coefficient-to-solution map to accuracy $\varepsilon>0$ in the $H^1$ norm, uniformly over the coefficient set. We prove that the neural networks in the ONet have size $\mathcal{O}(\left|\log(\varepsilon)\right|^\kappa)$ for some $\kappa>0$ depending on the physical space dimension.




Abstract:We prove exponential expressivity with stable ReLU Neural Networks (ReLU NNs) in $H^1(\Omega)$ for weighted analytic function classes in certain polytopal domains $\Omega$, in space dimension $d=2,3$. Functions in these classes are locally analytic on open subdomains $D\subset \Omega$, but may exhibit isolated point singularities in the interior of $\Omega$ or corner and edge singularities at the boundary $\partial \Omega$. The exponential expression rate bounds proved here imply uniform exponential expressivity by ReLU NNs of solution families for several elliptic boundary and eigenvalue problems with analytic data. The exponential approximation rates are shown to hold in space dimension $d = 2$ on Lipschitz polygons with straight sides, and in space dimension $d=3$ on Fichera-type polyhedral domains with plane faces. The constructive proofs indicate in particular that NN depth and size increase poly-logarithmically with respect to the target NN approximation accuracy $\varepsilon>0$ in $H^1(\Omega)$. The results cover in particular solution sets of linear, second order elliptic PDEs with analytic data and certain nonlinear elliptic eigenvalue problems with analytic nonlinearities and singular, weighted analytic potentials as arise in electron structure models. In the latter case, the functions correspond to electron densities that exhibit isolated point singularities at the positions of the nuclei. Our findings provide in particular mathematical foundation of recently reported, successful uses of deep neural networks in variational electron structure algorithms.