Universidade de São Paulo




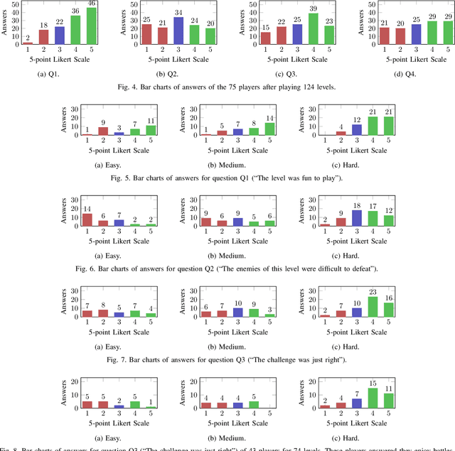
Abstract:Action-Adventure games have several challenges to overcome, where the most common are enemies. The enemies' goal is to hinder the players' progression by taking life points, and the way they hinder this progress is distinct for different kinds of enemies. In this context, this paper introduces an extended version of an evolutionary approach for procedurally generating enemies that target the enemy's difficulty as the goal. Our approach advances the enemy generation research by incorporating a MAP-Elites population to generate diverse enemies without losing quality. The computational experiment showed the method converged most enemies in the MAP-Elites in less than a second for most cases. Besides, we experimented with players who played an Action-Adventure game prototype with enemies we generated. This experiment showed that the players enjoyed most levels they played, and we successfully created enemies perceived as easy, medium, or hard to face.




Abstract:Procedural Content Generation (PCG) methods are valuable tools to speed up the game development process. Moreover, PCG may also present in games as features, such as the procedural dungeon generation (PDG) in Moonlighter (Digital Sun, 2018). This paper introduces an extended version of an evolutionary dungeon generator by incorporating a MAP-Elites population. Our dungeon levels are discretized with rooms that may have locked-door missions and enemies within them. We encoded the dungeons through a tree structure to ensure the feasibility of missions. We performed computational and user feedback experiments to evaluate our PDG approach. They show that our approach accurately converges almost the whole MAP-Elite population for most executions. Finally, players' feedback indicates that they enjoyed the generated levels, and they could not indicate an algorithm as a level generator.