



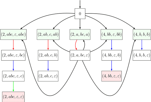
Abstract:We introduce a new formalisation of languages, called keyboards. We consider a set of elementary operations (writing/erasing a letter, going to the right or to the left,...) and we define a keyboard as a set of finite sequences of such operations, called keys. The corresponding language is the set of words obtained by applying some sequence of those keys. Unlike classical models of computation, every key can be applied anytime. We define various classes of languages based on different sets of elementary operations, and compare their expressive powers. We also compare them to well-known classes of languages (Chomsky hierarchy). We obtain a strict hierarchy of languages, whose expressivity is orthogonal to the one of the aforementionned classical models. -- Nous introduisons une nouvelle repr\'esentation de langages, les claviers. On se munit d'un ensemble d'op\'erations \'el\'ementaires (ajout, effacement d'une lettre, d\'eplacement \`a droite, \`a gauche, ...), et on d\'efinit un clavier comme un ensemble de suites finies d'op\'erations \'el\'ementaires, appel\'ees touches. Son langage sera l'ensemble des mots obtenus en appliquant une suite quelconque de touches. Contrairement \`a des mod\`eles de calcul classiques, toutes les touches peuvent \^etre appliqu\'ees \`a tout moment. En premier lieu nous d\'efinissons diff\'erentes classes de claviers en faisant varier l'ensemble des op\'erations \'el\'ementaires autoris\'ees, et nous comparons l'expressivit\'e des classes de langages obtenues. Nous comparons \'egalement ces classes \`a la hi\'erarchie de Chomsky. Nous obtenons que toutes les classes \'etudi\'ees sont diff\'erentes, et nous caract\'erisons les classes inclues dans les rationnels et les alg\'ebriques. L'expressivit\'e des claviers semble orthogonale \`a celle des mod\`eles \'evoqu\'es pr\'ec\'edemment.