



Abstract:Large language models (LLMs) increasingly serve as interactive healthcare resources, yet user acceptance remains underexplored. This study examines how ease of use, perceived usefulness, trust, and risk perception interact to shape intentions to adopt DeepSeek, an emerging LLM-based platform, for healthcare purposes. A cross-sectional survey of 556 participants from India, the United Kingdom, and the United States was conducted to measure perceptions and usage patterns. Structural equation modeling assessed both direct and indirect effects, including potential quadratic relationships. Results revealed that trust plays a pivotal mediating role: ease of use exerts a significant indirect effect on usage intentions through trust, while perceived usefulness contributes to both trust development and direct adoption. By contrast, risk perception negatively affects usage intent, emphasizing the importance of robust data governance and transparency. Notably, significant non-linear paths were observed for ease of use and risk, indicating threshold or plateau effects. The measurement model demonstrated strong reliability and validity, supported by high composite reliabilities, average variance extracted, and discriminant validity measures. These findings extend technology acceptance and health informatics research by illuminating the multifaceted nature of user adoption in sensitive domains. Stakeholders should invest in trust-building strategies, user-centric design, and risk mitigation measures to encourage sustained and safe uptake of LLMs in healthcare. Future work can employ longitudinal designs or examine culture-specific variables to further clarify how user perceptions evolve over time and across different regulatory environments. Such insights are critical for harnessing AI to enhance outcomes.

Abstract:This paper explores the evolving relationship between clinician trust in LLMs, the transformation of data sources from predominantly human-generated to AI-generated content, and the subsequent impact on the precision of LLMs and clinician competence. One of the primary concerns identified is the potential feedback loop that arises as LLMs become more reliant on their outputs for learning, which may lead to a degradation in output quality and a reduction in clinician skills due to decreased engagement with fundamental diagnostic processes. While theoretical at this stage, this feedback loop poses a significant challenge as the integration of LLMs in healthcare deepens, emphasizing the need for proactive dialogue and strategic measures to ensure the safe and effective use of LLM technology. A key takeaway from our investigation is the critical role of user expertise and the necessity for a discerning approach to trusting and validating LLM outputs. The paper highlights how expert users, particularly clinicians, can leverage LLMs to enhance productivity by offloading routine tasks while maintaining a critical oversight to identify and correct potential inaccuracies in AI-generated content. This balance of trust and skepticism is vital for ensuring that LLMs augment rather than undermine the quality of patient care. Moreover, we delve into the potential risks associated with LLMs' self-referential learning loops and the deskilling of healthcare professionals. The risk of LLMs operating within an echo chamber, where AI-generated content feeds into the learning algorithms, threatens the diversity and quality of the data pool, potentially entrenching biases and reducing the efficacy of LLMs.




Abstract:Background: Pleural Mesothelioma (PM) is an unusual, belligerent tumor that rapidly develops into cancer in the pleura of the lungs. Pleural Mesothelioma is a common type of Mesothelioma that accounts for about 75% of all Mesothelioma diagnosed yearly in the U.S. Diagnosis of Mesothelioma takes several months and is expensive. Given the risk and constraints associated with PM diagnosis, early identification of this ailment is essential for patient health. Objective: In this study, we use artificial intelligence algorithms recommending the best fit model for early diagnosis and prognosis of MPM. Methods: We retrospectively retrieved patients clinical data collected by Dicle University, Turkey, and applied multilayered perceptron (MLP), voted perceptron (VP), Clojure classifier (CC), kernel logistic regression (KLR), stochastic gradient decent SGD), adaptive boosting (AdaBoost), Hoeffding tree (VFDT), and primal estimated sub-gradient solver for support vector machine (s-Pegasos). We evaluated the models, compared and tested using paired T-test (corrected) at 0.05 significance based on their respective classification accuracy, f-measure, precision, recall, root mean squared error, receivers characteristic curve (ROC), and precision-recall curve (PRC). Results: In phase-1, SGD, AdaBoost. M1, KLR, MLP, VFDT generate optimal results with the highest possible performance measures. In phase 2, AdaBoost, with a classification accuracy of 71.29%, outperformed all other algorithms. C-reactive protein, platelet count, duration of symptoms, gender, and pleural protein were found to be the most relevant predictors that can prognosticate Mesothelioma. Conclusion: This study confirms that data obtained from Biopsy and imagining tests are strong predictors of Mesothelioma but are associated with a high cost; however, they can identify Mesothelioma with optimal accuracy.




Abstract:Objectives-Geriatric clinical care is a multidisciplinary assessment designed to evaluate older patients (age 65 years and above) functional ability, physical health, and cognitive wellbeing. The majority of these patients suffer from multiple chronic conditions and require special attention. Recently, hospitals utilize various artificial intelligence (AI) systems to improve care for elderly patients. The purpose of this systematic literature review is to understand the current use of AI systems, particularly machine learning (ML), in geriatric clinical care for chronic diseases. Materials and Methods-We restricted our search to eight databases, namely PubMed, WorldCat, MEDLINE, ProQuest, ScienceDirect, SpringerLink, Wiley, and ERIC, to analyze research articles published in English between January 2010 and June 2019. We focused on studies that used ML algorithms in the care of geriatrics patients with chronic conditions. Results-We identified 35 eligible studies and classified in three groups-psychological disorder (n=22), eye diseases (n=6), and others (n=7). This review identified the lack of standardized ML evaluation metrics and the need for data governance specific to health care applications. Conclusion- More studies and ML standardization tailored to health care applications are required to confirm whether ML could aid in improving geriatric clinical care.




Abstract:The International Classification of Functioning, Disability, and Health for Children and Youth (ICF-CY) is a scaffold for designating and systematizing data on functioning and disability. It offers a standard semantic and a theoretical foundation for the demarcation and extent of wellbeing and infirmity. The multidimensional layout of ICF-CY comprehends a plethora of information with about 1400 categories making it difficult to analyze. Our research proposes a predictive model that classify self-care problems on Self-Care Activities Dataset based on the ICF- CY. The data used in this study resides 206 attributes of 70 children with motor and physical disability. Our study implements, compare and analyze Random Forest, Support vector machine, Naive Bayes, Hoeffding tree, and Lazy locally weighted learning using two-tailed T-test at 95% confidence interval. Boruta algorithm involved in the study minimizes the data dimensionality to advocate the minimal-optimal set of predictors. Random forest gave the best classification accuracy of 84.75%; root mean squared error of 0.18 and receiver operating characteristic of 0.99. Predictive analytics can simplify the usage of ICF-CY by automating the classification process of disability, functioning, and health.




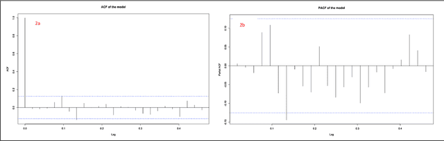
Abstract:Emergent and unscheduled cardiology admissions from cardiac catheterization laboratory add complexity to the management of Cardiology and in-patient department. In this article, we sought to study the behavior of cardiology admissions from Catheterization laboratory using time series models. Our research involves retrospective cardiology admission data from March 1, 2012, to November 3, 2016, retrieved from a hospital in Iowa. Autoregressive integrated moving average (ARIMA), Holts method, mean method, na\"ive method, seasonal na\"ive, exponential smoothing, and drift method were implemented to forecast weekly cardiology admissions from Catheterization laboratory. ARIMA (2,0,2) (1,1,1) was selected as the best fit model with the minimum sum of error, Akaike information criterion and Schwartz Bayesian criterion. The model failed to reject the null hypothesis of stationarity, it lacked the evidence of independence, and rejected the null hypothesis of normality. The implication of this study will not only improve catheterization laboratory staff schedule, advocate efficient use of imaging equipment and inpatient telemetry beds but also equip management to proactively tackle inpatient overcrowding, plan for physical capacity expansion and so forth.


Abstract:Application of humanoid robots has been common in the field of healthcare and education. It has been recurrently used to improve social behavior and mollify distress level among children with autism, cancer and cerebral palsy. This article discusses the same from a human factors perspective. It shows how people of different age and gender have a different opinion towards the application and acceptance of humanoid robots. Additionally, this article highlights the influence of cerebral condition and social interaction on a user behavior and attitude towards humanoid robots. Our study performed a literature review and found that (a) children and elderly individuals prefer humanoid robots due to inactive social interaction, (b) The deterministic behavior of humanoid robots can be acknowledged to improve social behavior of autistic children, (c) Trust on humanoid robots is highly driven by its application and a user age, gender, and social life.




Abstract:Autism spectrum condition (ASC) or autism spectrum disorder (ASD) is primarily identified with the help of behavioral indications encompassing social, sensory and motor characteristics. Although categorized, recurring motor actions are measured during diagnosis, quantifiable measures that ascertain kinematic physiognomies in the movement configurations of autistic persons are not adequately studied, hindering the advances in understanding the etiology of motor mutilation. Subject aspects such as behavioral characters that influences ASD need further exploration. Presently, limited autism datasets concomitant with screening ASD are available, and a majority of them are genetic. Hence, in this study, we used a dataset related to autism screening enveloping ten behavioral and ten personal attributes that have been effective in diagnosing ASD cases from controls in behavior science. ASD diagnosis is time exhaustive and uneconomical. The burgeoning ASD cases worldwide mandate a need for the fast and economical screening tool. Our study aimed to implement an artificial neural network with the Levenberg-Marquardt algorithm to detect ASD and examine its predictive accuracy. Consecutively, develop a clinical decision support system for early ASD identification.




Abstract:Malignant Pleural Mesothelioma (MPM) or malignant mesothelioma (MM) is an atypical, aggressive tumor that matures into cancer in the pleura, a stratum of tissue bordering the lungs. Diagnosis of MPM is difficult and it accounts for about seventy-five percent of all mesothelioma diagnosed yearly in the United States of America. Being a fatal disease, early identification of MPM is crucial for patient survival. Our study implements logistic regression and develops association rules to identify early stage symptoms of MM. We retrieved medical reports generated by Dicle University and implemented logistic regression to measure the model accuracy. We conducted (a) logistic correlation, (b) Omnibus test and (c) Hosmer and Lemeshow test for model evaluation. Moreover, we also developed association rules by confidence, rule support, lift, condition support and deployability. Categorical logistic regression increases the training accuracy from 72.30% to 81.40% with a testing accuracy of 63.46%. The study also shows the top 5 symptoms that is mostly likely indicates the presence in MM. This study concludes that using predictive modeling can enhance primary presentation and diagnosis of MM.




Abstract:With the emergence of the Hospital Readmission Reduction Program of the Center for Medicare and Medicaid Services on October 1, 2012, forecasting unplanned patient readmission risk became crucial to the healthcare domain. There are tangible works in the literature emphasizing on developing readmission risk prediction models; However, the models are not accurate enough to be deployed in an actual clinical setting. Our study considers patient readmission risk as the objective for optimization and develops a useful risk prediction model to address unplanned readmissions. Furthermore, Genetic Algorithm and Greedy Ensemble is used to optimize the developed model constraints.