



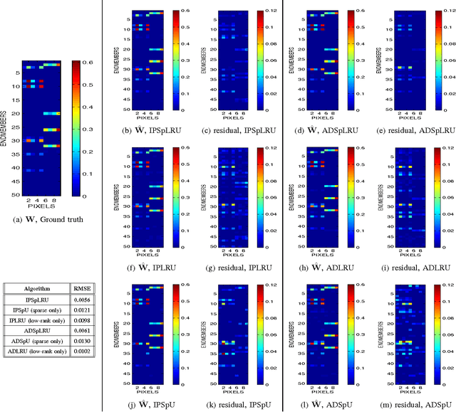
Abstract:In a plethora of applications dealing with inverse problems, e.g. in image processing, social networks, compressive sensing, biological data processing etc., the signal of interest is known to be structured in several ways at the same time. This premise has recently guided the research to the innovative and meaningful idea of imposing multiple constraints on the parameters involved in the problem under study. For instance, when dealing with problems whose parameters form sparse and low-rank matrices, the adoption of suitably combined constraints imposing sparsity and low-rankness, is expected to yield substantially enhanced estimation results. In this paper, we address the spectral unmixing problem in hyperspectral images. Specifically, two novel unmixing algorithms are introduced, in an attempt to exploit both spatial correlation and sparse representation of pixels lying in homogeneous regions of hyperspectral images. To this end, a novel convex mixed penalty term is first defined consisting of the sum of the weighted $\ell_1$ and the weighted nuclear norm of the abundance matrix corresponding to a small area of the image determined by a sliding square window. This penalty term is then used to regularize a conventional quadratic cost function and impose simultaneously sparsity and row-rankness on the abundance matrix. The resulting regularized cost function is minimized by a) an incremental proximal sparse and low-rank unmixing algorithm and b) an algorithm based on the alternating minimization method of multipliers (ADMM). The effectiveness of the proposed algorithms is illustrated in experiments conducted both on simulated and real data.