



Abstract:In the fast-growing smart devices, Android is the most popular OS, and due to its attractive features, mobility, ease of use, these devices hold sensitive information such as personal data, browsing history, shopping history, financial details, etc. Therefore, any security gap in these devices means that the information stored or accessing the smart devices are at high risk of being breached by the malware. These malware are continuously growing and are also used for military espionage, disrupting the industry, power grids, etc. To detect these malware, traditional signature matching techniques are widely used. However, such strategies are not capable to detect the advanced Android malicious apps because malware developer uses several obfuscation techniques. Hence, researchers are continuously addressing the security issues in the Android based smart devices. Therefore, in this paper using Drebin benchmark malware dataset we experimentally demonstrate how to improve the detection accuracy by analyzing the apps after grouping the collected data based on the permissions and achieved 97.15% overall average accuracy. Our results outperform the accuracy obtained without grouping data (79.27%, 2017), Arp, et al. (94%, 2014), Annamalai et al. (84.29%, 2016), Bahman Rashidi et al. (82%, 2017)) and Ali Feizollah, et al. (95.5%, 2017). The analysis also shows that among the groups, Microphone group detection accuracy is least while Calendar group apps are detected with the highest accuracy, and with the highest accuracy, and for the best performance, one shall take 80-100 features.




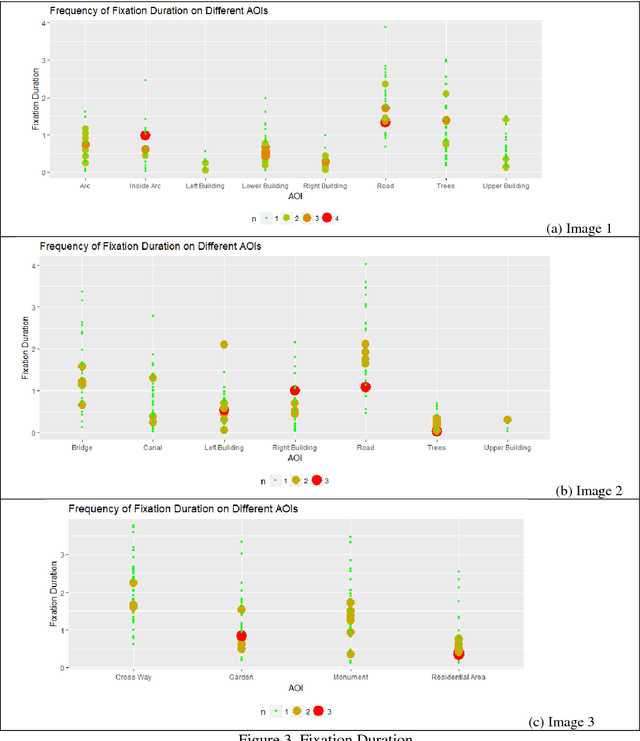
Abstract:The presented study is an eye tracking experiment for high-resolution satellite (HRS) images. The reported experiment explores the Area Of Interest (AOI) based analysis of eye fixation data for complex HRS images. The study reflects the requisite of reference data for bottom-up saliency-based segmentation and the struggle of eye tracking data analysis for complex satellite images. The intended fixation data analysis aims towards the reference data creation for bottom-up saliency-based segmentation of high-resolution satellite images. The analytical outcome of this experimental study provides a solution for AOI-based analysis for fixation data in the complex environment of satellite images and recommendations for reference data construction which is already an ongoing effort.




Abstract:Android devices are growing exponentially and are connected through the internet accessing billion of online websites. The popularity of these devices encourages malware developer to penetrate the market with malicious apps to annoy and disrupt the victim. Although, for the detection of malicious apps different approaches are discussed. However, proposed approaches are not suffice to detect the advanced malware to limit/prevent the damages. In this, very few approaches are based on opcode occurrence to classify the malicious apps. Therefore, this paper investigates the five classifiers using opcodes occurrence as the prominent features for the detection of malicious apps. For the analysis, we use WEKA tool and found that FT detection accuracy (79.27%) is best among the investigated classifiers. However, true positives rate i.e. malware detection rate is highest (99.91%) by RF and fluctuate least with the different number of prominent features compared to other studied classifiers. The analysis shows that overall accuracy is majorly affected by the false positives of the classifier.




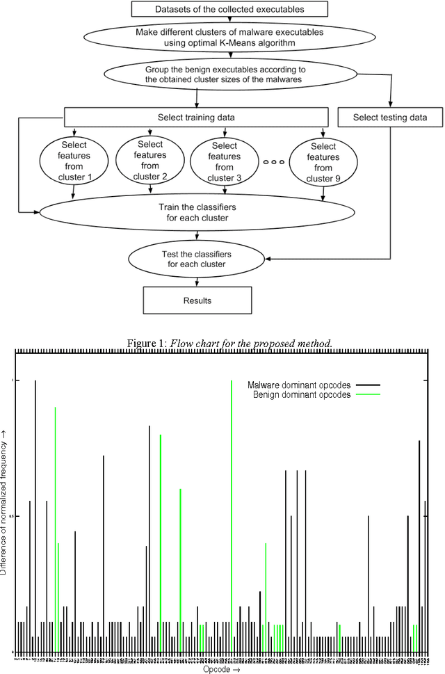
Abstract:The metamorphic malware variants with the same malicious behavior (family), can obfuscate themselves to look different from each other. This variation in structure leads to a huge signature database for traditional signature matching techniques to detect them. In order to effective and efficient detection of malware in large amounts of executables, we need to partition these files into groups which can identify their respective families. In addition, the grouping criteria should be chosen such a way that, it can also be applied to unknown files encounter on computers for classification. This paper discusses the study of malware and benign executables in groups to detect unknown malware with high accuracy. We studied sizes of malware generated by three popular second generation malware (metamorphic malware) creator kits viz. G2, PS-MPC and NGVCK, and observed that the size variation in any two generated malware from same kit is not much. Hence, we grouped the executables on the basis of malware sizes by using Optimal k-Means Clustering algorithm and used these obtained groups to select promising features for training (Random forest, J48, LMT, FT and NBT) classifiers to detect variants of malware or unknown malware. We find that detection of malware on the basis of their respected file sizes gives accuracy up to 99.11% from the classifiers.




Abstract:Combating malware is very important for software/systems security, but to prevent the software/systems from the advanced malware, viz. metamorphic malware is a challenging task, as it changes the structure/code after each infection. Therefore in this paper, we present a novel approach to detect the advanced malware with high accuracy by analyzing the occurrence of opcodes (features) by grouping the executables. These groups are made on the basis of our earlier studies [1] that the difference between the sizes of any two malware generated by popular advanced malware kits viz. PS-MPC, G2 and NGVCK are within 5 KB. On the basis of obtained promising features, we studied the performance of thirteen classifiers using N-fold cross-validation available in machine learning tool WEKA. Among these thirteen classifiers we studied in-depth top five classifiers (Random forest, LMT, NBT, J48 and FT) and obtain more than 96.28% accuracy for the detection of unknown malware, which is better than the maximum detection accuracy (95.9%) reported by Santos et al (2013). In these top five classifiers, our approach obtained a detection accuracy of 97.95% by the Random forest.