



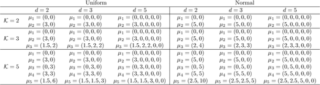
Abstract:We propose clustering algorithms based on a recently developed geometric digraph family called cluster catch digraphs (CCDs). These digraphs are used to devise clustering methods that are hybrids of density-based and graph-based clustering methods. CCDs are appealing digraphs for clustering, since they estimate the number of clusters; however, CCDs (and density-based methods in general) require some information on a parameter representing the \emph{intensity} of assumed clusters in the data set. We propose algorithms that are parameter free versions of the CCD algorithm and does not require a specification of the intensity parameter whose choice is often critical in finding an optimal partitioning of the data set. We estimate the number of convex clusters by borrowing a tool from spatial data analysis, namely Ripley's $K$ function. We call our new digraphs utilizing the $K$ function as RK-CCDs. We show that the minimum dominating sets of RK-CCDs estimate and distinguish the clusters from noise clusters in a data set, and hence allow the estimation of the correct number of clusters. Our robust clustering algorithms are comprised of methods that estimate both the number of clusters and the intensity parameter, making them completely parameter free. We conduct Monte Carlo simulations and use real life data sets to compare RK-CCDs with some commonly used density-based and prototype-based clustering methods.




Abstract:We use a geometric digraph family called class cover catch digraphs (CCCDs) to tackle the class imbalance problem in statistical classification. CCCDs provide graph theoretic solutions to the class cover problem and have been employed in classification. We assess the classification performance of CCCD classifiers by extensive Monte Carlo simulations, comparing them with other classifiers commonly used in the literature. In particular, we show that CCCD classifiers perform relatively well when one class is more frequent than the other in a two-class setting, an example of the class imbalance problem. We also point out the relationship between class imbalance and class overlapping problems, and their influence on the performance of CCCD classifiers and other classification methods as well as some state-of-the-art algorithms which are robust to class imbalance by construction. Experiments on both simulated and real data sets indicate that CCCD classifiers are robust to the class imbalance problem. CCCDs substantially undersample from the majority class while preserving the information on the discarded points during the undersampling process. Many state-of-the-art methods, however, keep this information by means of ensemble classifiers, but CCCDs yield only a single classifier with the same property, making it both appealing and fast.




Abstract:We employ random geometric digraphs to construct semi-parametric classifiers. These data-random digraphs are from parametrized random digraph families called proximity catch digraphs (PCDs). A related geometric digraph family, class cover catch digraph (CCCD), has been used to solve the class cover problem by using its approximate minimum dominating set. CCCDs showed relatively good performance in the classification of imbalanced data sets, and although CCCDs have a convenient construction in $\mathbb{R}^d$, finding minimum dominating sets is NP-hard and its probabilistic behaviour is not mathematically tractable except for $d=1$. On the other hand, a particular family of PCDs, called \emph{proportional-edge} PCDs (PE-PCDs), has mathematical tractable minimum dominating sets in $\mathbb{R}^d$; however their construction in higher dimensions may be computationally demanding. More specifically, we show that the classifiers based on PE-PCDs are prototype-based classifiers such that the exact minimum number of prototypes (equivalent to minimum dominating sets) are found in polynomial time on the number of observations. We construct two types of classifiers based on PE-PCDs. One is a family of hybrid classifiers depend on the location of the points of the training data set, and another type is a family of classifiers solely based on class covers. We assess the classification performance of our PE-PCD based classifiers by extensive Monte Carlo simulations, and compare them with that of other commonly used classifiers. We also show that, similar to CCCD classifiers, our classifiers are relatively better in classification in the presence of class imbalance.